Please wait...
Consider telecommunication through optical fibres. Which of the following statements is NOT true?
The following question has four choices, out of which ONE or MORE can be correct.
Two blocks A and B, each of mass m, are connected by a massless spring of natural length L and spring constant k. The blocks are initially resting on a smooth horizontal floor with the spring at its natural length, as shown in the figure. A third identical block C, also of mass m, moves on the floor with a speed v along the line joining A and B, and collides elastically with A. Then,
A monochromatic light source of wavelength λ is placed at S. Three slits S1, S2 and S3 are equidistance from the source S and the point P on the screen. S1P − S2P = λ/6 and S1P − S3P = 2λ/3. If I be the intensity at P when only one slit is open, the intensity at P when all the three slits are open is?
Directions: The following question has four choices, out of which ONE or MORE can be correct. A simple pendulum of length L and mass (bob) M is oscillating in a plane about a vertical line between angular limits −ϕ and +ϕ. For an angular displacement θ(|θ| < ϕ), the tension in the string and the velocity of the bob are T and v , respectively. The relation(s) that hold(s) good under the above conditions is/are:
Two blocks P and Q are connected by a light inextensible string passing over a smooth pulley fixed as shown in the Figure. The coefficient of friction of blocks P and Q to the table is μ = 0.3; the mass of the block Q is 20 kg. The mass of the block P for the block just to slip is
A uniform bar of length 6a and mass 8m lies on a smooth horizontal table. Two point masses m and 2m moving in the same horizontal plane with speed 2 v and v, respectively, strike the bar [as shown in the figure] and stick to the bar after collision. Denoting angular velocity (about the centre of mass), total energy and centre of mass velocity respectively by ω , E and vc, we have after collision:
An ammeter is designed by shunting a 60 Ω galvanometer with a 60 Ω resistance. The additional shunt that should be connected across it to double the range is
A particle of mass m moves on the x-axis as follows:
It starts from rest at t = 0 from the point x = 0, and comes to rest at t = 1 at the point x = 1. No other information is available about its motion at intermediate times (0 < t < 1). If α denotes the instantaneous acceleration of the particle, then
If E, M, J and G denote energy, mass, angular momentum and gravitational constant respectively. Then the dimensions of EJ2/M5G2 are same as that of:
A circular conducting loop of radius R carries a current I. Another straight infinite conductor carrying current I passes through the diameter of this loop as shown in the figure. The magnitude of force exerted by the straight conductor on the loop is :-
One million small identical drops of water, all charged to the same potential, are combined to form a single large drop. If E is the sum of the electrostatic energy of each small drop, the combined energy of the large drop is
The coordinates of a particle moving in a plane are given by:
x(t) = a cos (pt) and y(t) = b sin (pt), where a, b (< a) and p are positive constants of appropriate dimensions.
Which of the following statements is/are correct?
A square lead slab of side a = 50 cm and thickness t = 0.5 cm is subjected to a shearing force of magnitude F = 9 × 104 N. If the shear modulus of lead is η = 5.6 × 109 Pa, then how much work is done by the force?
A luminous point object is moving along the principal axis of a concave mirror of focal length 12 cm towards it. When its distance from the mirror is 20 cm its velocity is 4 cm/s . The velocity of the image in cm/s at that instant
The number of AM broadcast stations that can be accommodated at a 150 kHz band width, if the highest frequency modulating carrier is 5 kHz is
The constant tug on the moon as it moves around the earth is due to:
A transformer has an efficiency of 80%. It is connected to a power input of 4 kW and 100 V. if the secondary voltage is 240 V, then the secondary current is
In which of the following outer d-orbital complex magnetic moment
(spin only) is √3 B.M.
In the above reaction Product A is-
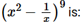
Consider the following compounds.
Which of the above compounds has/have an active methylene group?
Assume that a particular amino acid has isoelectric point as 6.0. In a solution at PH 1.0 which of the following will predominate.
[X3B ← NH3], in which of the following boric halide, tendency to accept electrons from nitrogen of ammonia will be least (X = halogens)
Which will give only one product (excluding stereoisomer) when undergoing E2 reaction ?
End product in the reaction is,
Consider the following conversions:
Among P, Q, R and S, the aromatic compound is/are
Which of the following type of compound is used to increase the hardness of the silicone polymer.
Which of the following statements is/are true?
Polymer of prop – 2 – ene nitrile is-
The storage battery generally used in electric power station is:
The given osazone can be formed by
Among given options maximum enol content is in-
Which of the following statements is/are correct for the given reaction?
By the passage of 1 F of electricity _____________.
If 'M' and σ2 are mean and variance of random variable X, whose distribution is given by -
The value of the term independent of x in the expansion of
If then which of the following statements is/are wrong?
If a, b, c are three unit vectors such that and b is not parallel to c, then the angle between a and c is:
If the roots of the equation are equal, then which one of the following is correct?
Tangent at any point to a curve in the first quadrant meets the coordinate axes at A and B such that area of triangle OAB is always 2 square units. If the curve passes through (1, 1), then-
The equation represents the equation of a circle with ω, ω2 as extremities of a diameter, then λ is, (where ω, ω2 are cube roots of unity)
In how many ways seven different books be distributed to two persons if each person receives at least one book ?
Find the length of longer diagonal of the parallelogram constructed on and the angle between a and b is π/4, is
The equation of a tangent to the circle x2 + y2 = 25 passing through the point (-2, 11) is
A function f : R → R satisfies the functional relation f(x + 2) = 2f (x + 1) − f (x), then
The projection of the line joining the points (3,4,5) and (4,6,3) on the line joining the points (-1,2,4) and (1,0,5) is :
The altitude of a cone is 20cm and its semi-vertical angle is 30°. If the semi-vertical angle is increasing at the rate of 2° per second, then the radius of the base is increasing at the rate of
If A and B are two square matrices such that B = –A–1 BA, then (A+B)2 is equal to
Identify the stage of mitosis by inspecting the image and key changes listed.
Key changes:
* Splitting of chromatids.
* Chromosomes move towards poles.
* Cell constriction appears
_________ is a condition that results from eating a diet in which nutrients are not enough or are too much such that it causes health problems.
Match the following time spans with their actual phases in a eukaryotic cell cycle.
In cell division, DNA synthesis takes place during:
The Science of using mechanical devices with human muscle skeleton and nervous systems to assist or enhance motor control lost by trauma, disease or defect is called:
Which among the following is not among Micronutrients required for plants?
Division of the nucleus during cell division is called __________.
Which among the following is the edible part in Rice?
A cell has a division time of 1 minute. If in 20 minutes it could fill a culture flask by 1/8th of its volume, then by what time would the total flask be filled?
The process of duplication of chromosomes is observed in interphase (or early prophase). The particular or specific stage of the eukaryotic cell cycle during which this occurs is termed the -
Identify the stage of Mitosis by inspecting the image and key changes listed.
* Chromosomes are doubled.
* Spindle fibres attach to the chromosomes.
* Chromosomes are arranged at equatorial plate.
Which of the following artificial sweeteners is not broken down by the body and therefore it is non-caloric (no-calorie sweetener) :
After mitosis, the number of chromosomes in the daughter cells shall be:
In the given figure, certain parts are indicated by letters. Select the answer which contains the correct matching of these letters with the correct parts.
Spindle fibres are made up of:
A catalytic converter helps in the control of
Which of the following categories is used in plants in place of Phylum?