Please wait...

Solution
Hindi language icon English language icon
Q.22 Correct
Q.22 In-correct
Q.22 Unattempt

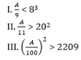
Question: The following question are accompanied by three statements i.e. statement (I), statement (II) and statement (III). You have to determine which statement (s) is/are sufficient/necessary to answer the question and mark the option accordingly.

Find the curved surface area and the volume of the cone whose radius, height and the slant height is r cm, h cm and l cm respectively (take π=3)

Statement (I): Area of the equilateral triangle whose side is h cm is 32√3 sq cm..

Statement (II): The unequal side of the isosceles triangle is r cm and the one side of that triangle is 5 cm. The perimeter of the isosceles triangle is 16 cm.

Statement (III): Area of the right triangle whose base is 10 cm and the height is h cm is 40 sq cm.

Question: The following question are accompanied by three statements i.e. statement (I), statement (II) and statement (III). You have to determine which statement (s) is/are sufficient/necessary to answer the question and mark the option accordingly.

Find the curved surface area and the volume of the cone whose radius, height and the slant height is r cm, h cm and l cm respectively (take π=3)

Statement (I): Area of the equilateral triangle whose side is h cm is 32√3 sq cm..

Statement (II): The unequal side of the isosceles triangle is r cm and the one side of that triangle is 5 cm. The perimeter of the isosceles triangle is 16 cm.

Statement (III): Area of the right triangle whose base is 10 cm and the height is h cm is 40 sq cm.

Q.23 Correct
Q.23 In-correct
Q.23 Unattempt

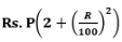
Question: The following question are accompanied by three statements i.e. statement (I), statement (II) and statement (III). You have to determine which statement (s) is/are sufficient/necessary to answer the question and mark the option accordingly.

An article A is sold at Rs. Q and the marked price of the article A is Rs. M. Find the cost price of the article A which is equal to Rs. P.

Statement (I): Ratio of the marked price of A to selling price of A is 6: 5 and the article is sold at the profit of 25%

Statement (II): Ratio of the cost price of A and the selling price of the article A is 4: 5 and the marked price of the article A is 100 more than the marked price of another article B

Statement (III): Ratio of the cost price of article A and B is 4: 3 and the marked price of the article B is Rs. 500

Question: The following question are accompanied by three statements i.e. statement (I), statement (II) and statement (III). You have to determine which statement (s) is/are sufficient/necessary to answer the question and mark the option accordingly.

An article A is sold at Rs. Q and the marked price of the article A is Rs. M. Find the cost price of the article A which is equal to Rs. P.

Statement (I): Ratio of the marked price of A to selling price of A is 6: 5 and the article is sold at the profit of 25%

Statement (II): Ratio of the cost price of A and the selling price of the article A is 4: 5 and the marked price of the article A is 100 more than the marked price of another article B

Statement (III): Ratio of the cost price of article A and B is 4: 3 and the marked price of the article B is Rs. 500

Q.48 Correct
Q.48 In-correct
Q.48 Unattempt

What could be the most possible reason for the Russian aggression in the above-mentioned statement?

I. Russia, considering the economic significance of Ukraine, sought Ukraine’s membership in the Eurasian Economic Community (EAEC), which is a free trade agreement that came into being in 2015, with its huge market and advanced agriculture and industrial output, Ukraine was supposed to play an important role. But Ukraine refused to join the agreement.

II. NATO, led by the U.S., has planned to install missile defence systems in Eastern Europe in countries like Poland and the Czech Republic to counter Russia’s intercontinental-range missiles.

III. Maintaining strong relations with Ukraine serves India’s national interests. If not, there is also an impact on the strong Indian diaspora present in the region, threatening the lives of thousands of Indian students.

What could be the most possible reason for the Russian aggression in the above-mentioned statement?

I. Russia, considering the economic significance of Ukraine, sought Ukraine’s membership in the Eurasian Economic Community (EAEC), which is a free trade agreement that came into being in 2015, with its huge market and advanced agriculture and industrial output, Ukraine was supposed to play an important role. But Ukraine refused to join the agreement.

II. NATO, led by the U.S., has planned to install missile defence systems in Eastern Europe in countries like Poland and the Czech Republic to counter Russia’s intercontinental-range missiles.

III. Maintaining strong relations with Ukraine serves India’s national interests. If not, there is also an impact on the strong Indian diaspora present in the region, threatening the lives of thousands of Indian students.

Q.51 Correct
Q.51 In-correct
Q.51 Unattempt

Read the following information carefully and answer the below questions

Statements:

I). Despite the fact that the lack of power in schools is taken note of by the Parliamentary Standing Committee which operates its own schemes and sponsors several school education programmes, India has not yet electrified a significant number of government schools.

II). According to data, only 56.45% of government schools had electricity and 56.98% a playground, while almost 40% lacked a boundary wall.

Conclusions:

I). The tardy progress on such important facilities, in spite of the projects having been sanctioned, shows the low priority that school education is being accorded.

II). The government-run school sector needs a fund infusion and a public school system that guarantees universal access, good learning and all facilities has to be among the highest national priorities.

Read the following information carefully and answer the below questions

Statements:

I). Despite the fact that the lack of power in schools is taken note of by the Parliamentary Standing Committee which operates its own schemes and sponsors several school education programmes, India has not yet electrified a significant number of government schools.

II). According to data, only 56.45% of government schools had electricity and 56.98% a playground, while almost 40% lacked a boundary wall.

Conclusions:

I). The tardy progress on such important facilities, in spite of the projects having been sanctioned, shows the low priority that school education is being accorded.

II). The government-run school sector needs a fund infusion and a public school system that guarantees universal access, good learning and all facilities has to be among the highest national priorities.

Q.53 Correct
Q.53 In-correct
Q.53 Unattempt

Read the following information carefully and answer the below questions

Statement I: There is considerable reduction in the number of people affected by water-borne diseases in City A during this rainy season. Waterborne diseases are caused by drinking contaminated or dirty water. Contaminated water can cause many types of diarrheal diseases, including Cholera, and other serious illnesses such as Guinea worm disease, Typhoid, and Dysentery

Statement II: The government has opened four new civil hospitals in City A in the beginning of the year to improve the quality of life of people by providing better Health Services. These hospitals strive to help people improve their productivity and reduce risks of diseases and injury in a cost-effective way.

Read the following information carefully and answer the below questions

Statement I: There is considerable reduction in the number of people affected by water-borne diseases in City A during this rainy season. Waterborne diseases are caused by drinking contaminated or dirty water. Contaminated water can cause many types of diarrheal diseases, including Cholera, and other serious illnesses such as Guinea worm disease, Typhoid, and Dysentery

Statement II: The government has opened four new civil hospitals in City A in the beginning of the year to improve the quality of life of people by providing better Health Services. These hospitals strive to help people improve their productivity and reduce risks of diseases and injury in a cost-effective way.

Q.54 Correct
Q.54 In-correct
Q.54 Unattempt

Read the following information carefully and answer the below questions

Statement: An umbrella programme for roads - Bharatmala - will hit the ground soon ending all existing highway projects, including the flagship NHDP, in six months.

Arguments:

I). The development of any nation depends on the transportation networks and the ways in which they are being maintained. For connecting the areas and maintaining smooth flow of traffic, the construction of new and developed roads is a must.

II). This project will compete directly with some of the existing toll road projects, affecting their toll collection, and, consequently, debt servicing ability. This is a big hindrance in economic development and leads to inefficiency in the transportation of goods and services across the country.

Read the following information carefully and answer the below questions

Statement: An umbrella programme for roads - Bharatmala - will hit the ground soon ending all existing highway projects, including the flagship NHDP, in six months.

Arguments:

I). The development of any nation depends on the transportation networks and the ways in which they are being maintained. For connecting the areas and maintaining smooth flow of traffic, the construction of new and developed roads is a must.

II). This project will compete directly with some of the existing toll road projects, affecting their toll collection, and, consequently, debt servicing ability. This is a big hindrance in economic development and leads to inefficiency in the transportation of goods and services across the country.

Q.55 Correct
Q.55 In-correct
Q.55 Unattempt

Read the following information carefully and answer the below questions

Statement: Several independent studies, including the nationwide rural survey Annual status of Education Report(ASER),  have been repeatedly highlighting the poor quality of education and pointing out serious gaps even in basic foundation skills like reading and arithmetic in schools in rural Tamil Nadu (both Government and Private)

Assumptions:

I). Solving a problem of this magnitude is only possible by the convergence of aligned efforts that focus on learning outcomes, continually measure progress and most importantly ensuring accountability by involving parents in their children education.

II). The village gathers together to see children perform role plays and songs.

Read the following information carefully and answer the below questions

Statement: Several independent studies, including the nationwide rural survey Annual status of Education Report(ASER),  have been repeatedly highlighting the poor quality of education and pointing out serious gaps even in basic foundation skills like reading and arithmetic in schools in rural Tamil Nadu (both Government and Private)

Assumptions:

I). Solving a problem of this magnitude is only possible by the convergence of aligned efforts that focus on learning outcomes, continually measure progress and most importantly ensuring accountability by involving parents in their children education.

II). The village gathers together to see children perform role plays and songs.

Mockers logo Get latest Exam Updates
& Study Material Alerts!
No, Thanks
Arrow pointer icon
Click on Allow to receive notifications
Notification bell icon ×
Open Now