Please wait...
A circuit contains an ammeter, a battery of 30 V and a resistance 40.8 all connected in series. If the ammeter has the coil of resistance 480 and a shunt of 20 , then reading in the ammeter will be
A rectangular coil of length 0.12 m and width 0.1 m having 50 turns of wire is suspended vertically in a uniform magnetic field of strength 0.2 Wb/m2. The coil carries a current of 2 A. If the plane of the coil is inclined at an angle of 30o with the direction of the field, the torque required to keep the coil in stable equilibrium will be
Water rises to a height ‘h’ in the capillary tube. If the length of capillary tube is made less than ‘h’, then
What is the pH of the resulting solution when equal volumes of 0.1 M NaOH and 0.01 M HCl are mixed?
The sum of coordination number and oxidation number of the metal M in the complex [M(en)2(C2O4)-]Cl is -
The heat of combustion of carbon to CO2 is -393.5 KJ/mol. The heat released upon the formation of 35.2 g of CO2 from carbon and oxygen gas is
2,3-dimethyl-2-butene can be prepared by heating which of the following compounds with a strong acid?
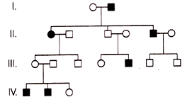
A colour-blind man marries a woman with normal sight who has no history of colour blindness in her family. What is the probability of their grandson being colour blind? (consider the grandsons only through son)