Please wait...

Age Test 4
Menu grid icon
Result Result point icon
Age Test 4
  • Goals icon

    /

    Score
  • Trophy icon

    -

    Rank
White alarm icon Time Taken: -
Result frame illustration
  • Question 1/10
    1 / -0

    In 8 years ago P will be twice as old as Q.If A is now 6 years older than Q,then the present age of Q

    Solutions

    Explanation :

     

  • Question 2/10
    1 / -0

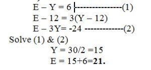
    The difference between the age of the two persons is 6 years.Twelve years ago, the elder was thrice as old as the younger one.The present age of the elder

    Solutions

    Explanation :

     

  • Question 3/10
    1 / -0

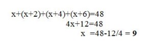
    The sum of age of 4 children born at the interval of 2 years each is 48.What is the age of the youngest one?

    Solutions

    Explanation :

     

  • Question 4/10
    1 / -0

    The ratio between the present age of A and B is 7:4.The ratio between the age of A and B four years ago is 2:1.What is the ratio age of A and B four years hence

    Solutions

    Explanation :

     

  • Question 5/10
    1 / -0

    Ram is 42 years old and Rajesh is 58 years old.How many years ago was the ratio of their ages 4:6

    Solutions

    Explanation :

     

     

  • Question 6/10
    1 / -0

    The sum of the ages of a father and his  son is 70 years.Five years ago difference between their age is 14.The father’s present age is

    Solutions

    Explanation :

     

     

  • Question 7/10
    1 / -0

    A is 3 years older than B who is twice as old as C .If the total of ages A,B and C is 38,What is the age of C

    Solutions

    Explanation :

     

     

  • Question 8/10
    1 / -0

    The present ages of three persons are in the ratio of 3:4:6.Four years ago the sum of their age was 66.Find their present age

    Solutions

    Explanation :

     

  • Question 9/10
    1 / -0

    Sam’s present age is two-fifth of the age of his mother age.After 6 years,he will half of the age of his mother.The mother present age is

    Solutions

     

  • Question 10/10
    1 / -0

    The average of ages of three persons is 60 years .Those ages are in the proportion of 2:4:6.what is the age of the youngest one among them?

    Solutions

    Explanation :

     

Close button icon
User Profile
-

Correct (-)

Wrong (-)

Skipped (-)


  • 1
  • 2
  • 3
  • 4
  • 5
  • 6
  • 7
  • 8
  • 9
  • 10
Mockers logo Get latest Exam Updates
& Study Material Alerts!
No, Thanks
Arrow pointer icon
Click on Allow to receive notifications
Notification bell icon ×
Open Now