Please wait...

Inequalities Test 2
Menu grid icon
Result Result point icon
Inequalities Test 2
  • Goals icon

    /

    Score
  • Trophy icon

    -

    Rank
White alarm icon Time Taken: -
Result frame illustration
  • Question 1/10
    1 / -0

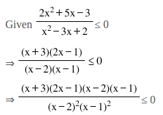
    The solution set for the inequality fraction numerator 2 straight x squared plus 5 straight x minus 3 over denominator straight x squared minus 3 straight x plus 2 end fraction ≤ 0 is

    Solutions

    ⇒ (x + 3) (2x – 1) (x – 1) (x – 2) ≤ 0

    ⇒ The critical points are –3, 1/2,  1 and 2

    When x = 0, the inequality is true

    The solution set is [–3, 1/2] ∪ (1, 2)

  • Question 2/10
    1 / -0

    The equation (1 + m2) x2 + 2mcx + c2 – a2 = 0 has equal roots, if

    Solutions

    Equal roots, if D = 0 ⇒ B2 – 4AC = 0

    (2mc)2 – 4(1 + m2)(c2 – a2) = 0

                4m2c2 – 4[c2 + m2c2 – m2a2 – a2] = 0

    As                    4 ≠ 0

                c2 – m2a2 – a2 = 0 ⇒ c2 = a2(1 + m2)

  • Question 3/10
    1 / -0

    The minimum value of 10 + |x| is

    Solutions

     

    When x < - 2, |x – 1| > 3

    So, |x + 2| + |x – 1| > 3

    When x > 1, |x + 2| > 3 and so |x + 2| + |x – 1| > 3.

    When -2 < × < 1, |x + 2| + |x – 1| = 3

    Hence there is no real number x such that |x + 2| + |x – 1| < 2.

  • Question 4/10
    1 / -0

    The minimum value of the expression |2x – 3| + 17 is

    Solutions

    We know that

    ∴ |2x – 3| > 0 for every real value of x.

    ∴ |2x – 3| + 17 > 17

    ∴ the minimum value of |2x + 3| + 17 is 17.

  • Question 5/10
    1 / -0

    If |3x + 7| > 12, then the range of the real values of x is

    Solutions

    Given |3x + 7| > 12

    3x + 7 < – 12 or 3x + 7 > 12

    3x < – 19 or 3x > 5

    x < – 19 / 3 or x > 5 / 3

    ∴ the solution set is 

  • Question 6/10
    1 / -0

    Match list I with list II

    List I

    List II

    A.

    Roots of 2x2 – 13x + 21 = 0

    1.  

    7/2 and 1

    B.

    Roots of 2x2 – 9x + 7 = 0

    1.  

    3 and 7/2

    C.

    Roots of x2 – 6x + 9 = 0

    1.  

    3 and 3

    D.

    Roots of 2x2 – 21x + 49 = 0

    1.  

    7 and 7/2

    Solutions

    A         2x2 – 13x + 21 = 0 ⇒ 2x2 – 7x – 6x + 21 = 0

    ⇒        x(2x – 7) – 3(2x – 7) = 0 ⇒ (2x – 7)(x – 3) = 0

    ⇒        x = 7/2 or x = 3

    B         2x2 – 9x + 7 = 0 ⇒ (2x – 7)(x – 1) = 0

    ⇒        x = 7 / 2 or x = 1

    C         x2 – 6x + 9 = 0

    ⇒        (x – 3)(x – 3) = 0

    ⇒        x = 3 or x = 3

    D         2x2 – 21x + 49 = 0

    ⇒        (2x – 7)(x – 7) = 0

    ⇒        x = 7 / 2 or x = 7

  • Question 7/10
    1 / -0

    The number of integer values of x satisfying the in equation  |x + 3| < 5 is

    Solutions

    Given |x + 3| < 5

    ⇒ – 5 < x + 3 < 5

    ⇒ – 5  – 3 < x < 5 – 3

    ⇒ – 8 < x < 2

    ∴ The integers which satisfy the given in equation are –8, –7, –6, –5, –4, –3, –2, –1, 0, 1 and 2.

    Hence the required number of integers is 11.

  • Question 8/10
    1 / -0

    If |b| > 2 and x = |a| b, then which of the following is always true?

    Solutions

    Given x = |a| b and |b| > 2

    a + xb = a + |a| b2

    and a – xb = a - |a|b2

    As|–6| > 1, the magnitude of |a| b2 is greater than that of a.

    The sign of either expression is determined by the sign of this term.

    i.e. a + |a| b2 > 0 and a – |a| b2 < 0

    The equality holds when a = 0.

  • Question 9/10
    1 / -0

    Find the range of the real values of x if |9 – x| < 2 – 3x.

    Solutions

    Given, |9 – x| < 2 – 3x

    Let x < 9

    Then, 9 – x < 2 – 3x ⇒ 2x < – 7

    ⇒ x < – 7 / 2 which agrees with x < 9

    Let x > 9

    Then –(9 – x) < 2 – 3x

    – 9 + x < 2 – 3x

    4x < 11

     which does not agree with x > 9.

    ∴ the solution set is .

  • Question 10/10
    1 / -0

    If one of the roots of the equation ax2 + x – 3 = 0 is -1.5 then what is the value of a?

    Solutions

    Since, – 1.5 is a root of ax2 + x – 3 = 0

    ∴         a(–1.5)2 + (–1.5) – 3 = 0

    ⇒        2.25 a – 4.5 = 0 ⇒ a = 

Close button icon
User Profile
-

Correct (-)

Wrong (-)

Skipped (-)


  • 1
  • 2
  • 3
  • 4
  • 5
  • 6
  • 7
  • 8
  • 9
  • 10
Mockers logo Get latest Exam Updates
& Study Material Alerts!
No, Thanks
Arrow pointer icon
Click on Allow to receive notifications
Notification bell icon ×
Open Now