Please wait...

Quadratic & Other Test 1
Menu grid icon
Result Result point icon
Quadratic & Other Test 1
  • Goals icon

    /

    Score
  • Trophy icon

    -

    Rank
White alarm icon Time Taken: -
Result frame illustration
  • Question 1/10
    1 / -0

    Solutions

     

  • Question 2/10
    1 / -0

    Solutions

     

  • Question 3/10
    1 / -0

    In each question two equations numbered I and II are given. You have to solve both the equations and mark the appropriate option.

    I. 28x2 − 79x + 55 = 0 

    II. 72y− 91y + 24 = 0

    Solutions

     

  • Question 4/10
    1 / -0

    At a shop, the price of rice per kg is Rs.15 less than the price of wheat per kg, while the price of black gram is Rs.10 more than the price of wheat per kg. A customer bought six kg each of rice, wheat and black gram for Rs.780. What is the price of two kg of rice and three kg of the black gram? 

    Solutions

     

  • Question 5/10
    1 / -0

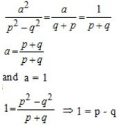
    If the equations x2 - px + q = 0 and x2 + qx - p = 0 have a common root, then which one of the following will hold true?

    Solutions

    If a be the common root of the given both equations then, 

    a2 - pa + q = 0 and a2 + qa - p = 0

     

  • Question 6/10
    1 / -0

    If x2 - y2 = 80 and x - y = 8, then the average of x and y is?

    Solutions

     

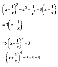
  • Question 7/10
    1 / -0

    Solutions

     

  • Question 8/10
    1 / -0

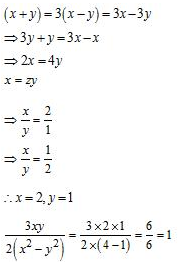
     Two number x and y (x > y) are such that their sum is equal to three times their difference. Then value of  will be?

    Solutions

     

  • Question 9/10
    1 / -0

    If a and b be positive integers such that a2 - b2 = 19, then the value of a is?

    Solutions

     

  • Question 10/10
    1 / -0

    Solutions

     

Close button icon
User Profile
-

Correct (-)

Wrong (-)

Skipped (-)


  • 1
  • 2
  • 3
  • 4
  • 5
  • 6
  • 7
  • 8
  • 9
  • 10
Mockers logo Get latest Exam Updates
& Study Material Alerts!
No, Thanks
Arrow pointer icon
Click on Allow to receive notifications
Notification bell icon ×
Open Now