Please wait...

Quadratic & Other Test 2
Menu grid icon
Result Result point icon
Quadratic & Other Test 2
  • Goals icon

    /

    Score
  • Trophy icon

    -

    Rank
White alarm icon Time Taken: -
Result frame illustration
  • Question 1/10
    1 / -0

    Solutions

     

  • Question 2/10
    1 / -0

    Solutions

     

  • Question 3/10
    1 / -0

    Solutions

     

  • Question 4/10
    1 / -0

    Solutions

     

  • Question 5/10
    1 / -0

    In a plane, P and Q are two points having co-ordinate (3, 0) and (6, 4) respectively. Then the numerical value of the circumference of circle with radius PQ is:

    Solutions

     

  • Question 6/10
    1 / -0

    Solutions

     

  • Question 7/10
    1 / -0

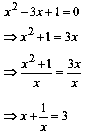
    Find a quadratic equation in x whose roots are 5 and 6.

    Solutions

    Any quadratic equation in x,

    Can be expressed as x2 - (sum of the roots) x + (product of the roots) = 0

    In the given problem, as the roots are 5 & 6

    the quadratic equation in x is x2 - 11x + 30 = 0.

     

  • Question 8/10
    1 / -0

    The range  of values of m for which the roots of the equation 3x2 + 2x + m(m − 1) = 0 are of opposite sign?

    Solutions

    Since, roots are of opposite sign.

    ∴ Product of roots < 0

    ⇒ m(m − 1) < 0

    ⇒ m2 − m < 0

    It is true only for

    0 < m < 1.

     

  • Question 9/10
    1 / -0

    If b and c are the roots of the equation x2 + bx + c = 0 then.

    Solutions

     

  • Question 10/10
    1 / -0

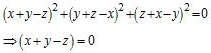
    If (x + y - z)2 + (y + z - x)2 + (z + x - y)2 = 0, then the value of x + y - z is?

    Solutions

     

Close button icon
User Profile
-

Correct (-)

Wrong (-)

Skipped (-)


  • 1
  • 2
  • 3
  • 4
  • 5
  • 6
  • 7
  • 8
  • 9
  • 10
Mockers logo Get latest Exam Updates
& Study Material Alerts!
No, Thanks
Arrow pointer icon
Click on Allow to receive notifications
Notification bell icon ×
Open Now