Please wait...

RRC Group D Mix Test - 252
Menu grid icon
Result Result point icon
RRC Group D Mix Test - 252
  • Goals icon

    /

    Score
  • Trophy icon

    -

    Rank
White alarm icon Time Taken: -
Result frame illustration
  • Question 1/10
    1 / -0

    Solutions

     

  • Question 2/10
    1 / -0

    Where is India's longest electrified rail tunnel situated?

    Solutions

    On 1 September 2019, Vice President M. Venkaiah Naidu inaugurated India's longest electrified rail tunnel. Situated between Cherlopalli and Rapuru stations of Andhra Pradesh, the 6.6-km long tunnel is a part of the Obulavaripalli-Venkatachalam railway line. The height of tunnel (rail level to roof) is 6.5 meters and the minimum height of contact wire is maintained at 5.2 meters. It will provide seamless rail connectivity between Krishnapatnam Port and the hinterland areas for freight movement.

     

  • Question 3/10
    1 / -0

    A liquid in a beaker has temperature  θ(t) at time t and  θ0 is temperature of surroundings, then according to Newton’s law of cooling the correct graph between loge (θ − θo) and t is-

    Solutions

     

  • Question 4/10
    1 / -0

    Which one among the following books was authored by a lady of the Mughal Royal House ?

    Solutions

    Gulbadan Begum was a Mughal princess and the youngest daughter of Emperor Babur, the founder of the Mughal Empire and the first Mughal emperor. She is best known as the author of Humayun-Nama, the account of the life of her half-brother, Emperor Humayun.

     

  • Question 5/10
    1 / -0

    In the figure, OED and OBA are sectors of a circle with center O. The area of the shaded portion is–

    Solutions

     

  • Question 6/10
    1 / -0

    Which of the following enzyme is found in saliva?

    Solutions

    Saliva contains the enzyme amylase, also called ptyalin, which is capable of breaking down starch into simpler sugars such as maltose and dextrin that can be further broken down in the small intestine. About 30% starch digestion takes place in the mouth cavity.

     

  • Question 7/10
    1 / -0

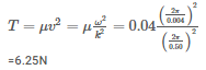
    The equation of a wave on a string of linear mass density  The tension in the string is-

    Solutions

     

  • Question 8/10
    1 / -0

    An Indian lawyer and former law minister passed away on 8 September 2019. What was the name of that personality?

    Solutions

    Former law minister Ram Jethmalani passed away on 8 September 2019. Ram Boolchand Jethmalani was an Indian lawyer and politician. Jethmalani served as law minister and as minister of Urban Development in the former prime minister Atal Bihari Vajpayee's cabinet. He served as India's Union minister of law and justice, as chairman of the Indian Bar Council, and as the president of the Supreme Court Bar Association.

     

  • Question 9/10
    1 / -0

    In the following question, some statements are given followed by some conclusions. You have to take the given statements to be true even if they seem to be at variance with commonly known facts. Read all the conclusions and then decide which of the given conclusions logically follow the given statements, disregarding commonly known facts.

    Statements :

    No taps are nozzles.

    Some valves are taps.

    Conclusions :

    I. All nozzles are valves.

    II. All valves are nozzles.

    Solutions

    As some valves are taps and no taps are nozzles, so we can say that some valves are not nozzles therefore no conclusions follow.

     

  • Question 10/10
    1 / -0

    If B=25 and BEST = 62, THEN STABLE=?

    Solutions

    The reverse sequence of alphabets is given in the pattern as follows:-
    A B C D E ……………………..S T………………..Y Z
    26 25 24 23 22 8 7 2 1
    As, B---25
    And,
    B---25
    E----22
    S----8
    T----7
    So,
    BEST is 25+22+8+7 = 62
    Similarly,
    S----8
    T----7
    A----26
    B----25
    L----15
    E----22
    So, STABLE will be coded as 8+7+26+25+15+22 = 103

     

Close button icon
User Profile
-

Correct (-)

Wrong (-)

Skipped (-)


  • 1
  • 2
  • 3
  • 4
  • 5
  • 6
  • 7
  • 8
  • 9
  • 10
Mockers logo Get latest Exam Updates
& Study Material Alerts!
No, Thanks
Arrow pointer icon
Click on Allow to receive notifications
Notification bell icon ×
Open Now