Please wait...

RRC Group D Mix Test - 257
Menu grid icon
Result Result point icon
RRC Group D Mix Test - 257
  • Goals icon

    /

    Score
  • Trophy icon

    -

    Rank
White alarm icon Time Taken: -
Result frame illustration
  • Question 1/10
    1 / -0

    Otology is associated with the study of ….?

    Solutions

    Otology is a branch of biology that deals with the anatomical and physiological study of ear and ear related diseases. It focuses on the disease affecting ear and connecting structures.

     

  • Question 2/10
    1 / -0

    A woman invests Rs 4000 at the start of each year at 5% compound interest per annum. How much will her investment at the end of the 2nd year?

    Solutions

    Interest after 1st year = 105% of 4000 = 4200
    Amount after 1st year = 4200
    Principal for 2nd year = 4200+4000 = 8200
    Interest after 2nd year = 105% of 8200 = 8610
    So,
    Her investment will become 8610 after the end of 2nd year.

     

  • Question 3/10
    1 / -0

    Which one of the following is the correct descending order of Indian States in terms of sex ratio as per Census ?

    Solutions

    Meghalaya--989
    Manipur--987
    Mizoram--976
    Tripura--960

     

  • Question 4/10
    1 / -0

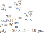
    A hollow pipe of length 0.8 cm is closed at one end. At its open end a 0.5 m long uniform string is vibrating in its second harmonic and it resonates with the fundamental frequency of the pipe. If the tension in the wire is 50N and the speed of sound is 320 ms−1 , the mass of the string is-

    Solutions

     

  • Question 5/10
    1 / -0

    The term Biomagnifications is referred to as __________.

    Solutions

    Biomagnification refers to the increasing concentration of a substance, such as a toxic chemical, in the tissues of organisms at successively higher levels in a food chain. It often refers to the process, whereby certain substances such as pesticides or heavy metals move up the food chain, work their way into rivers or lakes, and are eaten by aquatic organisms such as fish, which in turn are eaten by large birds, animals or humans.

     

  • Question 6/10
    1 / -0

    Which of the following cube in the answer figure cannot be made based on the unfolded cube in the question figure?

    Solutions

    The cube given in option (d) cannot be made as 4 boxes square and crossword can never be adjacent to each other instead they will always be opposite to each other.

     

  • Question 7/10
    1 / -0

    A Certain sum amounts to Rs. 7200 in 2 Years at 20% per annum compound interest, Compounded annually. Find the sum.

    Solutions

     

  • Question 8/10
    1 / -0

    Popular beverage "coffee" is obtained from which part of the plant?

    Solutions

    Coffea is a genus of flowering plants whose seeds, called coffee beans, are used to make various coffee beverages and products. It is a member of the family Rubiaceae. They are shrubs or small trees native to tropical and southern Africa and tropical Asia.

     

  • Question 9/10
    1 / -0

    If A = 0.313131.............. ,  B = 0.321321321........ and  C = 0.79797979.......... , then the value of  A+C/B is:

    Solutions

     

  • Question 10/10
    1 / -0

    In a computer game a builder can build a wall in 10 hours while a destroyer can demolish such a wall completely in 25 hours, Both the builder and the destroyer were initially set to work together on level ground. But after 15 hours the destroyer was taken out. What was the total time taken to build the wall?

    Solutions

    In one-hour builder build the wall  = 1/10
    And in one-hour destroyer destroy the wall  = 1/25
    After 15 hours the destroyer was taken out, so in the last let builder build the wall for n hour. 
    According to the question,

     

Close button icon
User Profile
-

Correct (-)

Wrong (-)

Skipped (-)


  • 1
  • 2
  • 3
  • 4
  • 5
  • 6
  • 7
  • 8
  • 9
  • 10
Mockers logo Get latest Exam Updates
& Study Material Alerts!
No, Thanks
Arrow pointer icon
Click on Allow to receive notifications
Notification bell icon ×
Open Now