Please wait...

RRC Group D Mix Test - 259
Menu grid icon
Result Result point icon
RRC Group D Mix Test - 259
  • Goals icon

    /

    Score
  • Trophy icon

    -

    Rank
White alarm icon Time Taken: -
Result frame illustration
  • Question 1/10
    1 / -0

    When was Swachh Bharat Mission initiated?

    Solutions

    The Swachh Bharat Mission was initiated in 2014 to achieve universal sanitation coverage by October 2, 2019. It is one of the largest cleanliness drives as well as an attempt to effect the behavioural change in the world. Since October 2014, over 9.5 crore toilets have been built all over the country and 564,658 villages have been declared open-defecation free (ODF).

     

  • Question 2/10
    1 / -0

    Rakesh is 6 ranks ahead of Tanvir in a class of 42 students. If Tanvir's rank is 18th from the last, then what is Rakesh's rank from the starting?

    Solutions

    Total student in the class= 42
    Tanvir’s rank is 18th from the last so Tanvir’s rank is 24th from starting.
    Rakesh is 6 rank ahead of Tanvir that means there are 5 students between Tanvir and Rakesh.
    So, Rakesh’s rank from the starting = 24 - 5 = 19th

     

  • Question 3/10
    1 / -0

    Article 352 of the Constitution of India Contains provisions related to :

    Solutions

    Article 352 of the Indian Constitution talks about the national emergency. National emergency is imposed whereby there is a grave threat to the security of India or any of its territory due to war, external aggression or armed rebellion. The fundamental rights can be suspended during the proclamation of the emergency. The proclamation of emergency is made by the President under Art. 352 the freedom guaranteed by Article 19 in Part-III are automatically suspended and would continue to be so for the period of the emergency.

     

  • Question 4/10
    1 / -0

    What is the process of removal of toxic wastes from the body of an organism called?

    Solutions

    The process of removal of toxic wastes from the body of an organism is termed as Excretion.

     

  • Question 5/10
    1 / -0

    IBn a certain code language, "RENTED" is written as "718314" and "SCARF" is written as "92576". How is "CARTED" written in that code language?

    Solutions

    RENTED = 718314
    SCARF = 92576
    So, C = 2, A = 5, R = 7, T = 3, E = 1, D =4
    CARTED = 257314

     

  • Question 6/10
    1 / -0

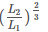
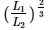
    A monoatomic ideal gas, initially at temperature T1 , is enclosed in a cylinder fitted with a frictionless piston. The gas is allowed to expand adiabatically to a temperature  T2 by releasing the piston suddenly. If  L1 and  L2 are the lengths of the gas column before and after expansion respectively, then  T1/T2 is given by

    Solutions

     

  • Question 7/10
    1 / -0

    Two buses start from a house at an interval of 5 minutes and move with a speed of 10 km/hr in the same direction. With how much speed (km/hr) should a woman coming from the opposite direction towards the house travel, to meet the buses at an interval of 3 minutes?

    Solutions

    Distance covered by two buses in 5 minutes with 10 km/hr speed = Distance covered by buses and woman in opposite direction in 3 minutes with speed (10+x) where x is the speed of woman
    ATQ,

     

  • Question 8/10
    1 / -0

    The number whose square is equal to the difference of the squares of 37 and 23 is:-

    Solutions

    37− 23= 840
    Required number = √840 = 28.98

     

  • Question 9/10
    1 / -0

    A mixture of 50 kg of cement and gravel contains 10% of gravel. How many kg of gravel must be added to make the gravel content 28% in the new mixture?

    Solutions

     

  • Question 10/10
    1 / -0

    In the following question, some statements are given followed by some conclusions. You have to take the given statements to be true even if they seem to be at variance with commonly known facts. Read all the conclusions and then decide which of the given conclusions logically follow the given statements, disregarding commonly known facts.

    Statements :

    I: All icons are drawings.

    II: No portraits are icons.

    Conclusions :

    I: Some drawings are portraits.

    II: All portraits are drawings.

    Solutions

    As all icons are drawings and no icons are portraits, so we can deduce that no drawings are portraits, therefore;
    I: Some drawings are portraits- False
    II: All portraits are drawings -False
    Neither conclusion I nor conclusion II follows.

     

Close button icon
User Profile
-

Correct (-)

Wrong (-)

Skipped (-)


  • 1
  • 2
  • 3
  • 4
  • 5
  • 6
  • 7
  • 8
  • 9
  • 10
Mockers logo Get latest Exam Updates
& Study Material Alerts!
No, Thanks
Arrow pointer icon
Click on Allow to receive notifications
Notification bell icon ×
Open Now