Please wait...

NDA II 2021 Mathematics Test - 43
Menu grid icon
Result Result point icon
NDA II 2021 Mathematics Test - 43
  • Goals icon

    /

    Score
  • Trophy icon

    -

    Rank
White alarm icon Time Taken: -
Result frame illustration
  • Question 1/10
    2.5 / -0.83

    Solutions

     

  • Question 2/10
    2.5 / -0.83

    Solutions

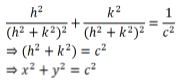
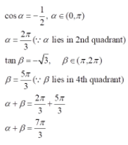
    We have,

     

  • Question 3/10
    2.5 / -0.83

    Solutions

     

  • Question 4/10
    2.5 / -0.83

    Solutions

     

  • Question 5/10
    2.5 / -0.83

     where c is a constant.What is the locus of the foot of the perpendicular from the origin on the given line.

    Solutions

    Then,

    Slope of OP × Slope of AB=-1

     

  • Question 6/10
    2.5 / -0.83

    Solutions

     

  • Question 7/10
    2.5 / -0.83

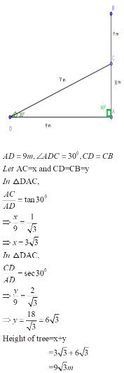
    A tree breaks due to storm and the broken part bends so that the top of the tree touches the ground making an angle of 30o with it. The distance between the foot of the tree to the point where the top touches the ground is 9m .Find the height of the tree.

    Solutions

    Let AB be the original height. Suppose it got bent at a point C and let part CB take the position CD, meeting ground at D. then,

     

  • Question 8/10
    2.5 / -0.83

    The angle of elevation of the top of an unfinished pillar at a point 150 m from its base is 30o. If the angle of elevation at the same point is to be 45o ,then the pillar has to be raised to a height of how many metres?

    Solutions

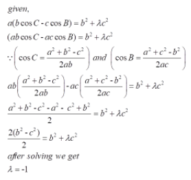
    Given,

     

  • Question 9/10
    2.5 / -0.83

    A plane P passes through the line of intersection of the planes 2x - y + 3z = 2, x + y - z = 1 and the point (1, 0, 1).

    If the plane p touches the sphere x2 + y2 + z2 = r, then what is r equal to?

    Solutions

    the centre of the sphere is (0,0,0) and radius is r.

    The perpendicular distance from the centre of the sphere is equal to radius.

     

  • Question 10/10
    2.5 / -0.83

    The number of planes that are equidistant from four non-coplanar point is

    Solutions

    Let the point be A, B, C and D

    The number of planes which have three points on one side and the fourth point on the other side is 4. The number of planes which have two points on each side of the plane is 3.

    Number of planes is 7.

     

Close button icon
User Profile
-

Correct (-)

Wrong (-)

Skipped (-)


  • 1
  • 2
  • 3
  • 4
  • 5
  • 6
  • 7
  • 8
  • 9
  • 10
Mockers logo Get latest Exam Updates
& Study Material Alerts!
No, Thanks
Arrow pointer icon
Click on Allow to receive notifications
Notification bell icon ×
Open Now