Please wait...

NDA II 2021 Mathematics Test - 44
Menu grid icon
Result Result point icon
NDA II 2021 Mathematics Test - 44
  • Goals icon

    /

    Score
  • Trophy icon

    -

    Rank
White alarm icon Time Taken: -
Result frame illustration
  • Question 1/10
    2.5 / -0.83

    Find the points of intersection of the line with equation 2x + y = 4 and the parabola with equation y = 2x2 + 6x + 4

    Solutions

    Given that,

    Now intersections points are (0, 4) and (-4, 12).

     

  • Question 2/10
    2.5 / -0.83

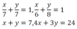
    Find the equation of the line which passes through the point (3,4) and the sum of its intercepts on the axes is 14.

    Solutions

    Now putting these values of a and b in equation 1 we get

     

  • Question 3/10
    2.5 / -0.83

    The angles of elevation of the top of a tower from two points distant s and t from its foot are complementary. Then the height of the tower is:

    Solutions

    Let the height of tower be h.

    Construct figure according to given information as,

     

  • Question 4/10
    2.5 / -0.83

    If the angles of elevation of the top of a tower from two points at distances a and b from the base and in the same straight line with it are complementary then the height of the tower is

    Solutions

     

  • Question 5/10
    2.5 / -0.83

    A cone is made from a circular sheet of radius √3 by cutting out a sector and keeping the cut edges of the remaining piece together. Then find the maximum volume attainable for the cone.

    Solutions

    Let h be the height, r be the radius of the base , l be slant height and V be the volume of the cone.

     

  • Question 6/10
    2.5 / -0.83

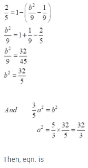
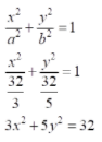
    An ellipse whose axes are the axes of coordinates and which passes through the point (3, 1) and eccentricity is √2/5 . Then find the equation of ellipse.

    Solutions

    By eqn. (1) and (2),

     

  • Question 7/10
    2.5 / -0.83

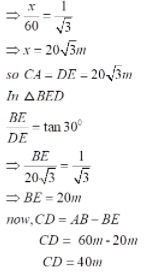
    From the top of a building 60m high, the angles of depression of the top and bottom of a tower are observed to be 30o and 60o.Find the height of the tower.

    Solutions

     

  • Question 8/10
    2.5 / -0.83

    During conversion of a solid from one shape to another, the volume of new shape will….

    Solutions

    During conversion of a solid from one shape to another, the volume of new shape will remain unaltered.

     

  • Question 9/10
    2.5 / -0.83

    A plane P passes through the line of intersection of the planes 2x - y + 3z = 2,x + y - z = 1 and the point (1, 0, 1).

    What is the equation of the plane p ?

    Solutions

    let the equation of the plane,

     

  • Question 10/10
    2.5 / -0.83

    Solutions

     

Close button icon
User Profile
-

Correct (-)

Wrong (-)

Skipped (-)


  • 1
  • 2
  • 3
  • 4
  • 5
  • 6
  • 7
  • 8
  • 9
  • 10
Mockers logo Get latest Exam Updates
& Study Material Alerts!
No, Thanks
Arrow pointer icon
Click on Allow to receive notifications
Notification bell icon ×
Open Now