Please wait...

NDA II 2021 Mathematics Test - 45
Menu grid icon
Result Result point icon
NDA II 2021 Mathematics Test - 45
  • Goals icon

    /

    Score
  • Trophy icon

    -

    Rank
White alarm icon Time Taken: -
Result frame illustration
  • Question 1/10
    2.5 / -0.83

    Solutions

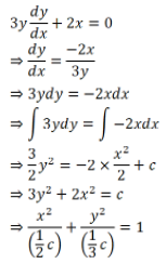
    This is the equation of family of ellipse.

     

  • Question 2/10
    2.5 / -0.83

    Select the correct answer using the code given below:

    Solutions

    So both are correct.

     

  • Question 3/10
    2.5 / -0.83

    Solutions

     

  • Question 4/10
    2.5 / -0.83

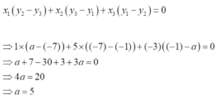
    If points A (1, -1), B (5, a) and C (-3, -7) are collinear, then find the value of a.

    Solutions

    Given that,

    Three points are A (1, -1), B (5, a) and C (-3, -7).

    We know that,

    If the points A, B and C are collinear then we must have,

     

  • Question 5/10
    2.5 / -0.83

    Solutions

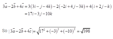
    Consider the given information

     

  • Question 6/10
    2.5 / -0.83

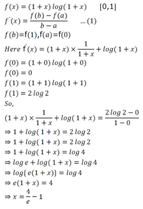
    By applying LaGrange’s mean value for the function 

    Solutions

    The given function is continuous and differentiable in the given interval so LaGrange’s mean value theorem can be applied.

    According to LaGrange’s mean value theorem, if

     

  • Question 7/10
    2.5 / -0.83

    Solutions

     

  • Question 8/10
    2.5 / -0.83

    Solutions

    A function is said to be differentiable if LHL=RHL and LHD=RHD

    Putting the value of b in equation 1 we get

     

  • Question 9/10
    2.5 / -0.83

    In a right circular cone, the part of cone made by the cross-section by a plane parallel to the base is a …

    Solutions

    we know that, if a cone is cut by a plane parallel to base of the cone, then the portion between the plane and base is called the frustum of the cone.

     

  • Question 10/10
    2.5 / -0.83

    Find the equation of the line perpendicular to the line x - 3y + 6 = 0 and having x-intercept 5.

    Solutions

    Given that,

    Equation of the line x - 3y + 6 = 0

    Now equation can be written in the form y = mx + c

     

Close button icon
User Profile
-

Correct (-)

Wrong (-)

Skipped (-)


  • 1
  • 2
  • 3
  • 4
  • 5
  • 6
  • 7
  • 8
  • 9
  • 10
Mockers logo Get latest Exam Updates
& Study Material Alerts!
No, Thanks
Arrow pointer icon
Click on Allow to receive notifications
Notification bell icon ×
Open Now