Please wait...

NDA II 2021 Mathematics Test - 47
Menu grid icon
Result Result point icon
NDA II 2021 Mathematics Test - 47
  • Goals icon

    /

    Score
  • Trophy icon

    -

    Rank
White alarm icon Time Taken: -
Result frame illustration
  • Question 1/10
    2.5 / -0.83

    Express 53 in binary system

    Solutions

     

  • Question 2/10
    2.5 / -0.83

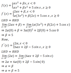
    A real function

    If f(x) is twice differentiable then

    Solutions

     

  • Question 3/10
    2.5 / -0.83

    Solutions

     

  • Question 4/10
    2.5 / -0.83

    Solutions

     

  • Question 5/10
    2.5 / -0.83

    Solutions

     

  • Question 6/10
    2.5 / -0.83

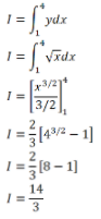
    Find the area of the region bounded by the curve y2 = x and the lines x = 1, x = 4 and the x-axis.

    Solutions

    From the diagram we can see the area bounded by these curves

     

  • Question 7/10
    2.5 / -0.83

    Solutions

     

  • Question 8/10
    2.5 / -0.83

    Solutions

     

  • Question 9/10
    2.5 / -0.83

    Solutions

     

  • Question 10/10
    2.5 / -0.83

    The area bounded by y2 = 4x and x2 = 4y is

    Solutions

    From equation 1 and equation 2 we get

     

Close button icon
User Profile
-

Correct (-)

Wrong (-)

Skipped (-)


  • 1
  • 2
  • 3
  • 4
  • 5
  • 6
  • 7
  • 8
  • 9
  • 10
Mockers logo Get latest Exam Updates
& Study Material Alerts!
No, Thanks
Arrow pointer icon
Click on Allow to receive notifications
Notification bell icon ×
Open Now