Please wait...

AFCAT II 2021 Aptitude Test - 18
Menu grid icon
Result Result point icon
AFCAT II 2021 Aptitude Test - 18
  • Goals icon

    /

    Score
  • Trophy icon

    -

    Rank
White alarm icon Time Taken: -
Result frame illustration
  • Question 1/10
    3 / -1

    How much quantity of water must be added to 48 mL of alcohol to make a solution that contains 25% alcohol?

    Solutions

     

  • Question 2/10
    3 / -1

    The price of motor cycle depreciates every year by 10%. If the value of the motor cycle after 3 years will be Rs 36450, Then what is the present value (in Rs) of the motor cycle?

    Solutions

     

  • Question 3/10
    3 / -1

    Charu borrowed a loan of Rs. 1,00,000 from a bank at 8% per annum simple interest to buy a shop. He rented the shop for Rs. 1875 per month. If he used 80% of the rent amount to discharge the loan, then how much time would he clear the loan including interest?

    Solutions

     

  • Question 4/10
    3 / -1

    A and B together can complete a work in 30 day. They started together but after 6 days A left the work and the work is completed by B after 36 more days. A alone can complete the entire work in how many days?

    Solutions

     

  • Question 5/10
    3 / -1

    A car left 3 minutes early than the scheduled time and in order to reach the destination 126 km away in time, it has to slow its speed by 6 km/h from the usual. What is the usual speed (in km/hr) of the car?

    Solutions

     

  • Question 6/10
    3 / -1

    A ball bounces from a hard floor after falling from 10 meter of height. During collision its energy reduces by 20%. Up to what height it will bounce now ?

    Solutions

    Now it will bounce 20% of 10 = 2 meter less

    = 10 – 2 = 8m

     

  • Question 7/10
    3 / -1

    In a college, 40% of the students were allotted group A, 75% of the remaining were given group B and the remaining 12 students were given group C. Then the number of students who applied for the groups is

    Solutions

     

  • Question 8/10
    3 / -1

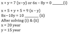
    The sum of present ages of A and B is 7 times the difference of their ages. 5 years hence, their total ages will be 9 times the difference of their ages. What is the present age of elder one (in years) ?

    Solutions

     

  • Question 9/10
    3 / -1

    The average of 5 consecutive odd numbers is 27. What is the product of the first and the last number?

    Solutions

     

  • Question 10/10
    3 / -1

    The average age of 6 members of a family is 25 years. If the youngest member of the family is 15 years old, then what was the average age (in years) of the family at the time of the birth of the youngest member?

    Solutions

    Sum of the age of the family = 6 × 25 = 150 years

    The sum of age of the family at the time of the birth of the youngest member = 150 − 15 × 6

    = 60

    Average (age) = 60/5 = 12 years

     

Close button icon
User Profile
-

Correct (-)

Wrong (-)

Skipped (-)


  • 1
  • 2
  • 3
  • 4
  • 5
  • 6
  • 7
  • 8
  • 9
  • 10
Mockers logo Get latest Exam Updates
& Study Material Alerts!
No, Thanks
Arrow pointer icon
Click on Allow to receive notifications
Notification bell icon ×
Open Now