Please wait...

NDA II 2021 Mathematics Test - 48
Menu grid icon
Result Result point icon
NDA II 2021 Mathematics Test - 48
  • Goals icon

    /

    Score
  • Trophy icon

    -

    Rank
White alarm icon Time Taken: -
Result frame illustration
  • Question 1/10
    2.5 / -0.83

    A college awarded 38 medals in football, 15 in volleyball and 20 in cricket. If these medals went to a total of 58 men and only 3 men got medals in all the 3 sports. The number of students who received medals in exactly 2 out of 3 sports is

    Solutions

    Now, the number of students who received medals in exactly 2 out of 3 sports will be

     

  • Question 2/10
    2.5 / -0.83

    If A, B, C are 3 sets and

    Solutions

     

  • Question 3/10
    2.5 / -0.83

    The standard deviation of some temperature data in oC is 5. If the data were converted into oF , the variance would be

    Solutions

     

  • Question 4/10
    2.5 / -0.83

    Solutions

     

  • Question 5/10
    2.5 / -0.83

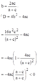
    If a, b, c are all positive and in HP, then the roots of ax2 + 2bx + c = 0 are

    Solutions

    a, b, c are in HP

    then

    , since a, b, c are all positive

    So, roots of the equations are Imaginary.

     

  • Question 6/10
    2.5 / -0.83

    Find the greatest value of xyz for positive x,y,z subject to the condition xy + yz + zx = 12

    Solutions

     

  • Question 7/10
    2.5 / -0.83

    Solutions

     

  • Question 8/10
    2.5 / -0.83

    If a,b,c are in G.P. and a1/x = b1/y = c1/z ,then x,y,z will be in

    Solutions

    We have,

     

  • Question 9/10
    2.5 / -0.83

    Find the ratio of the sum of first n even natural numbers and n odd numbers.

    Solutions

     

  • Question 10/10
    2.5 / -0.83

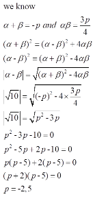
    If 1 - i is a roots of the equation x2 + ax + b = 0 , where a,b ∈ R then the value of a and b are respectively

    Solutions

    Since complex roots of a quadratic equation with real coefficients occur in conjugate pairs therefore in the given question, 1+ i is the other root.

     

Close button icon
User Profile
-

Correct (-)

Wrong (-)

Skipped (-)


  • 1
  • 2
  • 3
  • 4
  • 5
  • 6
  • 7
  • 8
  • 9
  • 10
Mockers logo Get latest Exam Updates
& Study Material Alerts!
No, Thanks
Arrow pointer icon
Click on Allow to receive notifications
Notification bell icon ×
Open Now