Please wait...

CDS II 2021 Mathematics Test - 15
Menu grid icon
Result Result point icon
CDS II 2021 Mathematics Test - 15
  • Goals icon

    /

    Score
  • Trophy icon

    -

    Rank
White alarm icon Time Taken: -
Result frame illustration
  • Question 1/10
    1 / -0.33

    Solutions

    Let x = 0.959595…. …………(1)

    Multiply by 100 both sides

    100x = 95.9595………….. …………..(2)

    Subtract (2) – (1)

    ⇒ 99x = 95

     

  • Question 2/10
    1 / -0.33

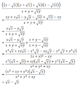
    Solutions

     

  • Question 3/10
    1 / -0.33

    Mean of the following distribution is 16

    What is the value of ?

    Solutions

     

  • Question 4/10
    1 / -0.33

    From a point in the ground the angles of elevation of larger and smaller trees are found to be 60o and 45o respectively. If the distance between the trees is 95 meters and the ratio between the heights of smaller to larger tree is 4:5 then height of the smaller tree is:

    Solutions

     

  • Question 5/10
    1 / -0.33

    Find the remainder when (257)1008 is divided by 64 ?

    Solutions

     

  • Question 6/10
    1 / -0.33

    The maximum value of ab(72−3a−4b) is:

    Solutions

     

  • Question 7/10
    1 / -0.33

    Four bells toll at intervals of 14, 21 and 42 minutes respectively. If they toll together at 11:24 a.m. , when will they toll together for the first time after that ?

    Solutions

    We have,

    Time interval to toll together = LCM of their timings

    = LCM of 14, 21 & 42

    = 42 min

    Next instance, when they toll together is

    So, at 12:06 p.m they toll together.

     

  • Question 8/10
    1 / -0.33

    A rectangular area of 6 square metres is to be painted on a 3m × 4m board leaving a border of uniform width on all sides. What should be the width of the border ?

    Solutions

    Let a rectangular area of 6 sq. meters (2m × 3m) is to be painted on a 3m × 4m board leaving a border of uniform width on all sides. Let the uniform width of the border = x meters.

    Therefore; uniform width of the border = ½ m = 0.5 m

     

  • Question 9/10
    1 / -0.33

    A right circular cone is exactly fitted inside a cube in such a way that the edges of the base of the cone are touching the edges of one of the faces of the cube and the vertex is on the opposite face of the cube. If the volume of the cube is 512 cc , what approximately is the volume of the cone.

    Solutions

    Volume of the cube = 512 cc

    If a right circular cone is exactly fitted inside a cube in such a way that the edges of the base of the cone are touching the edges of one of the faces of the cube and the vertex is on the opposite face of the cube.

    Then Height of the cone = Edge of the cube = 8 cm

     

  • Question 10/10
    1 / -0.33

    The number of common terms to the two sequences 17, 21, 25, …….,417 and 16, 21, 26,…466 is

    Solutions

    We have,

    The two sequences 17, 21, 25, …….,417 and 16, 21, 26, …466

    We know that the nth term an of an A.P. with first term 'a' and common difference 'd' is given by

     

Close button icon
User Profile
-

Correct (-)

Wrong (-)

Skipped (-)


  • 1
  • 2
  • 3
  • 4
  • 5
  • 6
  • 7
  • 8
  • 9
  • 10
Mockers logo Get latest Exam Updates
& Study Material Alerts!
No, Thanks
Arrow pointer icon
Click on Allow to receive notifications
Notification bell icon ×
Open Now