Please wait...

NDA II 2021 Mathematics Test - 50
Menu grid icon
Result Result point icon
NDA II 2021 Mathematics Test - 50
  • Goals icon

    /

    Score
  • Trophy icon

    -

    Rank
White alarm icon Time Taken: -
Result frame illustration
  • Question 1/10
    2.5 / -0.83

    Solutions

     

  • Question 2/10
    2.5 / -0.83

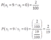
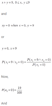
    One ticket is selected at random from 100 tickets numbered 00, 01, 02,..., 98, 99 .If x1 and x2 denotes the sum and product of the digits on the tickets, then P(x1 = 9/x2 = 0) is equal to

    Solutions

    Let the number selected by xy . Then

     

  • Question 3/10
    2.5 / -0.83

    The mean of numbers a, b, 8, 5, 10 is 6 and the variance is 6.80. Then which one of the following given possible value of a and b ?

    Solutions

    We have,

    Mean = 6

    Clearly, a = 3 and b = 4 satisfy equation (i) and (ii).

     

  • Question 4/10
    2.5 / -0.83

    If α, β are the roots of the equation x2 + px - q = 0 and γ, δ are roots of x2 + px + r = 0 then the value of (α - y) (α - δ) is

    Solutions

    If α satisfies

     

  • Question 5/10
    2.5 / -0.83

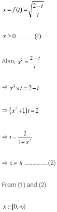
    Solutions

     

  • Question 6/10
    2.5 / -0.83

    The value of Q3 for the following distribution is

    Marks group: 5-10 10-15 15-20 20-25 25-30 30-35 35-40 40-45

    No of Student: 5 6 15 10 5 4 2 1

    Solutions

    The cumulative frequency distribution is as given below:

    The cumulative frequency just greater than 3N/4 is 41. The corresponding class is 25-30. It is the upper quartile class.

    The second quartile, Q2, is also the median. The upper or third quartile, denoted as Q3, is the central point that lies between the median and the highest number of the distribution.

     

  • Question 7/10
    2.5 / -0.83

    Let Q-1 be the set of all rational numbers except +1 and o be a binary operation defined by  then the solution of the equation 4 o x = 3 is:

    Solutions

     

  • Question 8/10
    2.5 / -0.83

    If the 9th term of a A P. be zero, then find the ratio of its 29th and 19th term is

    Solutions

    Let the first term of an A.P be a and common difference be d

     

  • Question 9/10
    2.5 / -0.83

    Solutions

    We have,

     

  • Question 10/10
    2.5 / -0.83

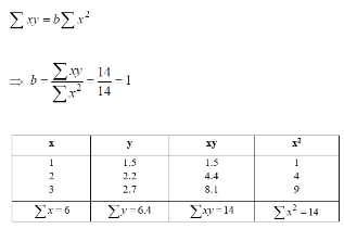
    Using given data points tabulated below, a straight line passing through the origin is fitted using least squares method. The slope of the line is

    Solutions

    Let the required line be y = bx (passing through the origin) …….(i)

    Then the normal equation of equation (i) is given by

     

Close button icon
User Profile
-

Correct (-)

Wrong (-)

Skipped (-)


  • 1
  • 2
  • 3
  • 4
  • 5
  • 6
  • 7
  • 8
  • 9
  • 10
Mockers logo Get latest Exam Updates
& Study Material Alerts!
No, Thanks
Arrow pointer icon
Click on Allow to receive notifications
Notification bell icon ×
Open Now