Please wait...

NDA II 2021 Mathematics Test - 52
Menu grid icon
Result Result point icon
NDA II 2021 Mathematics Test - 52
  • Goals icon

    /

    Score
  • Trophy icon

    -

    Rank
White alarm icon Time Taken: -
Result frame illustration
  • Question 1/10
    2.5 / -0.83

    Solutions

     

  • Question 2/10
    2.5 / -0.83

    What is the value of the following?

    (sin24º + cos66°) (sin 24º – cos66º)

    Solutions

     

  • Question 3/10
    2.5 / -0.83

    A chord subtends an angle 120° at the centre of a unit circle. What is the length of the chord?

    Solutions

    Let AB be the chord of a circle

    Let if we draw a perpendicular from centre to the chord then it bisect the chord as well as angle at the centre

    It is given that radius(OA) of circle = 1

     

  • Question 4/10
    2.5 / -0.83

    What is the value of the following?

    tan31º tan33º tan35º ... tan57º tan59º

    Solutions

     

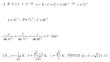
  • Question 5/10
    2.5 / -0.83

    Solutions

    (q-r)x2 + (r-p)x+(p-q) = 0

    (q-r)x2 + (r-p+q-q)x+(p-q) = 0

    (q-r)x2 – (q-r)x – (p-q)x+(p-q) = 0

    (q-r)x(x-1) –(p-q)(x-1) = 0

    ((q-r)x-(p-q))(x-1) = 0

    X=1 or (p-q)/(q-r)

     

  • Question 6/10
    2.5 / -0.83

    If roots of (k+6)x2 –(4k+2)x+7k+4 = 0 are reciprocal to each other, find k.

    Solutions

    Since roots are reciprocal to each other, product of roots is 1.

    Product of roots is (7k+4)/(k+6)=1

    7k+4 = k+6

    6k = 2

    K=1/3

     

  • Question 7/10
    2.5 / -0.83

    Every quadratic equation ax2 + bx + c = 0 where a, b, c ∈ R , a ≠ 0 has

    Solutions

    Every quadratic equation ax2 + bx + c = 0 where a, b, c ∈ R, a ≠ 0 has at most two real roots

    Because for the real roots of this quadratic equation must-have  may be or may not it depends upon the value of a, b and c then this quadratic equation may have two real root or not.

     

  • Question 8/10
    2.5 / -0.83

    Solutions

    We have,

     

  • Question 9/10
    2.5 / -0.83

    Solutions

     

  • Question 10/10
    2.5 / -0.83

    Solutions

     

Close button icon
User Profile
-

Correct (-)

Wrong (-)

Skipped (-)


  • 1
  • 2
  • 3
  • 4
  • 5
  • 6
  • 7
  • 8
  • 9
  • 10
Mockers logo Get latest Exam Updates
& Study Material Alerts!
No, Thanks
Arrow pointer icon
Click on Allow to receive notifications
Notification bell icon ×
Open Now