Please wait...

NDA II 2021 Mathematics Test - 57
Menu grid icon
Result Result point icon
NDA II 2021 Mathematics Test - 57
  • Goals icon

    /

    Score
  • Trophy icon

    -

    Rank
White alarm icon Time Taken: -
Result frame illustration
  • Question 1/10
    2.5 / -0.83

    Solutions

     

  • Question 2/10
    2.5 / -0.83

    A spherical iron ball 10 cm in radius is coated with a layer of ice of uniform thickness that melts at a rate of 50cm3/ min. When the thickness of ice is 5 cm, then the rate at which the thickness of ice decreases, is

    Solutions

    Let any time t, h cm be the thickness of ice. Then,

     

  • Question 3/10
    2.5 / -0.83

    If the value of a third-order determinant is 16, then the value of the determinant formed by replacing each of its elements by its cofactor is?

    Solutions

    Here, determinant of matrix = 16 and order = n = 3

    Determinant formed by replacing

    each of its elements by its cofactor = determinant of the transpose of adjoint

    = determinant of the adjoint of matrix

    (∵ The determinant of a square matrix is the same as the determinant of its transpose.)

     

  • Question 4/10
    2.5 / -0.83

    The function  is not defined at x = π. The value of f(π) so that f(x) is continuous at x = π is

    Solutions

     

  • Question 5/10
    2.5 / -0.83

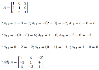
    The adjoint of the matrix

    Solutions

     

  • Question 6/10
    2.5 / -0.83

    Solutions

     

  • Question 7/10
    2.5 / -0.83

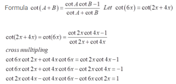
    What is cot2x cot4x – cot4x cot6x – cot6x cot2x equal to?

    Solutions

     

  • Question 8/10
    2.5 / -0.83

    Let g(x) is a function defined on (-1,1). If the area of the equilateral triangle with two of its vertices at (0,0) and {x, g(x)} is √3/4 , then the function is:

    Solutions

     

  • Question 9/10
    2.5 / -0.83

    If ω is an imaginary cube root of unity, then (1 + ω - ω2)equals.

    Solutions

    Given: ω is an imaginary cube root of unity.

     

  • Question 10/10
    2.5 / -0.83

    A square is inscribed in the circle  and its sides are parallel to the coordinate axes then one vertex of the square is :

    Solutions

    The centre of the circle is (1,-2), and it is given that the sides of the inscribed square are parallel to the coordinate axes. So the x and y coordinate cannot be 1 and -2. Hence the choices A, B and C are not possible.

     

Close button icon
User Profile
-

Correct (-)

Wrong (-)

Skipped (-)


  • 1
  • 2
  • 3
  • 4
  • 5
  • 6
  • 7
  • 8
  • 9
  • 10
Mockers logo Get latest Exam Updates
& Study Material Alerts!
No, Thanks
Arrow pointer icon
Click on Allow to receive notifications
Notification bell icon ×
Open Now