Please wait...

CDS I 2022 Mathematics Test - 19
Menu grid icon
Result Result point icon
CDS I 2022 Mathematics Test - 19
  • Goals icon

    /

    Score
  • Trophy icon

    -

    Rank
White alarm icon Time Taken: -
Result frame illustration
  • Question 1/10
    1 / -0.33

    20 men are supposed to complete a work in 10 days. After working for 5 days, they realise that only one–fourth of the work is done. How many more men they need to employ to finish the work on time?

    Solutions

     

  • Question 2/10
    1 / -0.33

    A and B working together can finish a work in 9 days, B and C working together can finish the same work in 12 days and A and C working together can finish the same work in 18 days. Then find out in how many days A, B and C working together can finish the work.

    Solutions

    Efficiency of A + B = 1/9

    Efficiency of B + C = 1/12

    Efficiency of A + C = 1/18

    Add the above three equation,

    A + B + B + C + A + C = 1/9 + 1/12 + 1/18

    2A + 2B + 2C = ( 4 + 3 + 2 )/ 36

    2(A+B+C) = ¼

    A + B + C = 1/8

    So, A, B and C working together can finish the work in 8 days.

     

  • Question 3/10
    1 / -0.33

    A can finish a work in 12 days, B can finish the same work in 24 days and C can finish the work in 72 days. In how many days A, B and C can finish the work, working alternate days respectively.

    Solutions

    Efficiency of A = 1/12

    Efficiency of B = 1/24

    Efficiency of C = 1/72

    Work completed if first three days = ( 1/12 + 1/24 + 1/72)

    = 10/72

    10/72 work completed in 3 days.

    Work completed in 21 days = 70/72

    Remaining work = 1 – 70/72

    = 2/72

    = 1/36

    = 1/3 days

    So total time taken to finish the work = 21 + 1/3

     days

     

  • Question 4/10
    1 / -0.33

    A motor car does a journey in 17.5 hours, covering the first half at 30km/hr and the second half at 40 km/hr, Find the distance of the journey.

    Solutions

     

  • Question 5/10
    1 / -0.33

    Two trains A and B starts simultaneously in the opposite direction from two points A and B and arrives at their destinations 9 and 4 hours respectively after their meeting each other. At what rate does the second train B travel if the first train travels at 80 km per hour.

    Solutions

    Here,

     

  • Question 6/10
    1 / -0.33

    A plane left half an hours later than the scheduled time and in order to each its destination 1500 kilometre away in time, it had to increase its speed by 33.33% over its usual speed. Find its increased speed.

    Solutions

    Let the speed be  S

     

  • Question 7/10
    1 / -0.33

    If a train runs at a speed of 80 kmph then it reaches destination one hour late. But if it runs at 100 kmph then it gets late by 20 minutes. Then the correct time (in minutes) for train to complete the journey is:

    Solutions

    Let the correct time of train to complete the journey is ‘t’ distance is d.

    T = 140 minutes

     

  • Question 8/10
    1 / -0.33

    The cost of 7 chairs, 2 tables and 5 fans is Rs. 9350. If the cost of 3 chairs and a fan is Rs. 1950, find the cost of 2 chairs, 1 table and 2 fans.

    Solutions

    Let the cost of chair be x, table be y and fan be z.

    Now, the cost of 7 chairs, 2 tables and 5 fans is Rs. 9350.

    7x + 2y + 5z = 9350 ...(1)

    Also, the cost of 3 chairs and a fan is Rs. 1950

    3x + z = 1950 ...(2)

    We have to find the cost of 2 chairs, 1 table and 2 fans,

    i.e. 2x + y + 2z = ?

    Subtracting equation 2 from equation 1 we get,

     

  • Question 9/10
    1 / -0.33

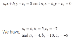
    The value of k for which the system of equations kx + 5y - 7 = 0 , 4x + 10y - 9 = 0 has infinitely many solutions is:

    Solutions

    Given equations are, kx+5y-7 =0 and 4x +10y-9=0

    On comparing the given equations , with standard form of equations

    Here, the equations have infinite number of solutions, if

    Hence there is no value of k for which the system of equations kx+5y-7 =0 , 4x +10y-9=0 has infinitely many solutions.

     

  • Question 10/10
    1 / -0.33

    The number of pairs (xy) where xy are integers satisfying the equation 21x + 48y = 5 is:

    Solutions

    21x + 48y = 5

    ⇒ 3(7x+16y) = 5

    ⇒ 7x + 16y = 5/3

    ⇒ So, there is no pair (xy) where xy are integers, which will satisfy 7x + 16y = 5/3 since 7x and 16y will be integer values.

     

Close button icon
User Profile
-

Correct (-)

Wrong (-)

Skipped (-)


  • 1
  • 2
  • 3
  • 4
  • 5
  • 6
  • 7
  • 8
  • 9
  • 10
Mockers logo Get latest Exam Updates
& Study Material Alerts!
No, Thanks
Arrow pointer icon
Click on Allow to receive notifications
Notification bell icon ×
Open Now