Please wait...

CDS I 2022 Mathematics Test - 20
Menu grid icon
Result Result point icon
CDS I 2022 Mathematics Test - 20
  • Goals icon

    /

    Score
  • Trophy icon

    -

    Rank
White alarm icon Time Taken: -
Result frame illustration
  • Question 1/10
    1 / -0.33

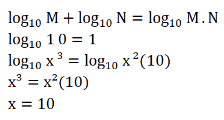
    If log10x + log10x2 = 2log10 x + 1, then what is the value of x?

    Solutions

     

  • Question 2/10
    1 / -0.33

    Solutions

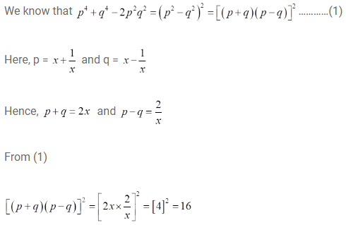
    The following expression can be written in a way as described below so that the given log values can be used-

     

  • Question 3/10
    1 / -0.33

    How many digits are there in (216)10 ?

    Solutions

    Let x = (216)10

    Taking Logarithms on both sides

    We can observe that

     

  • Question 4/10
    1 / -0.33

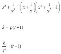
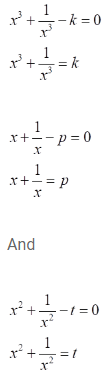
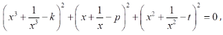
    If  where k, p and t are real numbers and x ≠ 0, then k/p is equal to?

    Solutions

    Notice that the three quantities in brackets are non-negative. And sum of all non-negative quantities is zero only when each of that quantity is equal to zero individually.

    Which means,

    Now, the identity is:

     

  • Question 5/10
    1 / -0.33

    Solutions

     

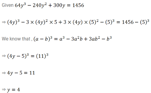
  • Question 6/10
    1 / -0.33

    Solutions

     

  • Question 7/10
    1 / -0.33

    Solutions

     

  • Question 8/10
    1 / -0.33

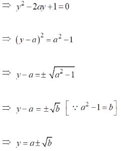
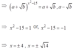
    The roots of the equation 

    Solutions

    We have,

     

  • Question 9/10
    1 / -0.33

    A man riding a car completes on lap of a circular field along its circumference at the speeds of 14.4 km/h in 1 minutes 28 sec. then what will be the area of the field

    Solutions

     

  • Question 10/10
    1 / -0.33

    If the roots of the equation Ax2 + Bx + C = 0 are -1 and 1, then which one of the following is correct?

    Solutions

    Hence A and C are of opposite sign.

     

Close button icon
User Profile
-

Correct (-)

Wrong (-)

Skipped (-)


  • 1
  • 2
  • 3
  • 4
  • 5
  • 6
  • 7
  • 8
  • 9
  • 10
Mockers logo Get latest Exam Updates
& Study Material Alerts!
No, Thanks
Arrow pointer icon
Click on Allow to receive notifications
Notification bell icon ×
Open Now