Please wait...

NDA II 2022 Mathematics Test - 1
Menu grid icon
Result Result point icon
NDA II 2022 Mathematics Test - 1
  • Goals icon

    /

    Score
  • Trophy icon

    -

    Rank
White alarm icon Time Taken: -
Result frame illustration
  • Question 1/10
    2.5 / -0.83

    Simplification of (cosecθ-cotθ)2

    Solutions

    (cosecθ-cotθ)2

     

  • Question 2/10
    2.5 / -0.83

    If sec4A = cosec(A - 10°) and 4A is acute then A is equal to:

    Solutions

    Given, sec4A = cosec(A - 10°)

    We know that secθ = cosec(90° - θ) where θ is an acute angle.

    Thus, cosec(90° - 4A) = cosec(A - 10°)

    On comparing both sides:

    90° - 4A = A - 10°

    ⇒ 5A = 100°

    ⇒ A = 20°

     

  • Question 3/10
    2.5 / -0.83

    If cosecθ + cotθ = p then cosθ = ?

    Solutions

    cosecθ+cotθ=p

     

  • Question 4/10
    2.5 / -0.83

    Solutions

     

  • Question 5/10
    2.5 / -0.83

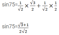
    If sin(A + B) = sinAcosB + cosAsinB then fine that value of sin75

    Solutions

    Let A=45 and B=30

    sin(A+B)=sinAcosB+cosAsinB

    sin(75)=sin45cos30+cos45sin30

     

  • Question 6/10
    2.5 / -0.83

    Solutions

     

  • Question 7/10
    2.5 / -0.83

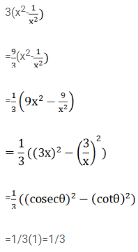
    find the value of 3(x2-1/ x2) if cosecθ=3x and cotθ=3/x

    Solutions

     

  • Question 8/10
    2.5 / -0.83

    If sinθ = x the value of cotθ

    Solutions

    Cot θ=cosθ/sinθ

     

  • Question 9/10
    2.5 / -0.83

    Solutions

     

  • Question 10/10
    2.5 / -0.83

    Solutions

     

Close button icon
User Profile
-

Correct (-)

Wrong (-)

Skipped (-)


  • 1
  • 2
  • 3
  • 4
  • 5
  • 6
  • 7
  • 8
  • 9
  • 10
Mockers logo Get latest Exam Updates
& Study Material Alerts!
No, Thanks
Arrow pointer icon
Click on Allow to receive notifications
Notification bell icon ×
Open Now