Please wait...

CDS II 2022 Mathematics Test - 1
Menu grid icon
Result Result point icon
CDS II 2022 Mathematics Test - 1
  • Goals icon

    /

    Score
  • Trophy icon

    -

    Rank
White alarm icon Time Taken: -
Result frame illustration
  • Question 1/10
    1 / -0.33

    Solutions

     

  • Question 2/10
    1 / -0.33

    The number of positive roots in 

    Solutions

    First, we write the polynomial in its standard form as
    f(x) = x6 + 3x5 - 7x4 + 13 +0x2 - 2x -5 

    Signs of the terms

    Since, there are three changes of sign, from + to -, from – to + and from + to –, By Descartes’s rule of sign, the number of positive roots is three or less than by an even. So, number of positive roots are 3 or 1.

     

  • Question 3/10
    1 / -0.33

    A villager buys a goat and a sheep together for Rs 14,250. He sold the sheep at a profit of 10% and the goat at a loss of 20%. If he sold both the animals atthe same price, then what was the cost price of the cheaper animal?

    Solutions

    Given,

    110% of CP of Sheep = 80% of CP of Goat

    CP of Sheep : CP of Goat = 8 : 11

    Hence, the cost price of the sheep = (8/19) × 14250 = Rs 6000

     

  • Question 4/10
    1 / -0.33

    A man donates 30% of this wealth to charity. 30% and 25% of the remaining wealth to his wife and son respectively. The rest he divides equally between his three daughters. One of his daughter gets Rs 42 lakh as her share. What was the man’s wealth (in Lakhs)?

    Solutions

    Let the total wealth be 1000 unit

    Then remaining amount after donating in charity=1000 - 30% of 1000 = 700 Unit

    Amount given to wife and son = 55% of 700 = 385 Unit

    Remaining amount= 315 Unit

    This amount is equally distributed between three daughter

    So, each daughter get 315/ 3=105 Unit

    Now According to Question,

    105 = 42 Lakh

    So, man total wealth =400 lakh

     

  • Question 5/10
    1 / -0.33

    Directions For Questions

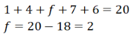
    Direction: The following table shows the number of trees planted by 20 different household in a locality.

    ...view full instructions


    What is the value of ?

    Solutions

     

  • Question 6/10
    1 / -0.33

    Directions For Questions

    Direction: The following table shows the number of trees planted by 20 different household in a locality.

    ...view full instructions


    Find the mean of the data?

    Solutions

     

  • Question 7/10
    1 / -0.33

    Directions For Questions

    Direction: The following table shows the number of trees planted by 20 different household in a locality.

    ...view full instructions


    What is the median of the data?

    Solutions

     

  • Question 8/10
    1 / -0.33

    A loan of Rs. 55000 is to be paid back in two equal annual installments. Find the value of each installment, if the rate of interest is 20% compounded annually.

    Solutions

     

  • Question 9/10
    1 / -0.33

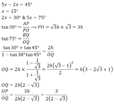
    The ratio of heights of two towers stand at P and Q respectively is √3:2. The angle of elevation of a point O in the line joining P and Q to the top of bigger tower to that of smaller tower is 5:2. If difference between the elevations is 45°, the ratio of the distances of O from P to Q is:

    Solutions

    Let the heights of towers are √3h and 2h, then their respective angle of elevation from O are 5x and 2x. Now,

     

  • Question 10/10
    1 / -0.33

    Solutions

     

Close button icon
User Profile
-

Correct (-)

Wrong (-)

Skipped (-)


  • 1
  • 2
  • 3
  • 4
  • 5
  • 6
  • 7
  • 8
  • 9
  • 10
Mockers logo Get latest Exam Updates
& Study Material Alerts!
No, Thanks
Arrow pointer icon
Click on Allow to receive notifications
Notification bell icon ×
Open Now