Please wait...

NDA II 2022 Mathematics Test - 4
Menu grid icon
Result Result point icon
NDA II 2022 Mathematics Test - 4
  • Goals icon

    /

    Score
  • Trophy icon

    -

    Rank
White alarm icon Time Taken: -
Result frame illustration
  • Question 1/10
    2.5 / -0.83

    Find the middle term in expansion of (3 + x)6

    Solutions

    For (3 + x)6,

    a = 3, b = x and n = 6

    therefore, for 4th , r = 3

    therefore the middle term is

    t4 = t3+1

    = (20). (27) x3

    = 540 x3

     

  • Question 2/10
    2.5 / -0.83

    The no. of five digit number that can be formed by using 1, 2, 3only, such that exactly three digits in the formed numbers are same is ________

    Solutions

    (3C1).  = 60

     

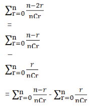
  • Question 3/10
    2.5 / -0.83

    Solutions

    Therefore 30 = 6 (5-n) + (5-n) (6-n)

    30 = 30 – 6n + 30 – 5n – 6n + n2

    n2 – 17n + 30 = 0

    (n-15)(n-2) = 0

    Therefore n = 2

    Because n > 6 is not possible.

     

  • Question 4/10
    2.5 / -0.83

    The number of ways in which a committee of 3 women and 4 men be chosen from 8 women and 7 men is formed in Mr. A refuses to serve on the committee if Mr. B is a member of the committee is _______

    Solutions

    Women can be selected in 8C3 = 40 ways, 

    men can be selected in( if Mr. B is member)   = 1 x 5C2 = 10ways

    and ( if Mr. A is member then B may be member ) = 1 x 6C3 = 20 

    so total = 40(20+10) = 1200
    5C2

     

  • Question 5/10
    2.5 / -0.83

    Solutions

    = 0

     

  • Question 6/10
    2.5 / -0.83

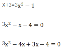
    Find the set of values for which the function f(x) =x+3 and g(x) =3x2 - 1 are equal.

    Solutions

    F(x)=g(x)

    (3x-4)(x+1)=0

    X=4/3 and x=-1

     

  • Question 7/10
    2.5 / -0.83

    Let A = {a, b, c, e, f} B = {c, d, e, g} and C = {b, c, f, g} be subsets of the set U= {a, b, c, d, e, f, g, h}. find (B – C) ∪ (C – B)

    Solutions

    (B - C)U(C - B) implies the union of sets B - C and C – B

    B - C = {d, e}

    C - B = {b, f}

    (B - C)U(C - B) = {b, d, e, f}

     

  • Question 8/10
    2.5 / -0.83

    If f be the greatest integer function and g be an absolute function find the value of (fog)(-3/2)+(gof)(4/3)

    Solutions

     

  • Question 9/10
    2.5 / -0.83

    if f(x)=  find the value of f(1/x).

    Solutions

     

  • Question 10/10
    2.5 / -0.83

    Which of the following is an identity matrix?

    Solutions

    Identity Matrix has its diagonal elements as 1 and lower and upper triangle elements as 0

     

Close button icon
User Profile
-

Correct (-)

Wrong (-)

Skipped (-)


  • 1
  • 2
  • 3
  • 4
  • 5
  • 6
  • 7
  • 8
  • 9
  • 10
Mockers logo Get latest Exam Updates
& Study Material Alerts!
No, Thanks
Arrow pointer icon
Click on Allow to receive notifications
Notification bell icon ×
Open Now