Please wait...

CDS II 2022 Mathematics Test - 4
Menu grid icon
Result Result point icon
CDS II 2022 Mathematics Test - 4
  • Goals icon

    /

    Score
  • Trophy icon

    -

    Rank
White alarm icon Time Taken: -
Result frame illustration
  • Question 1/10
    1 / -0.33

    ABED is a cyclic quadrilateral. ED is extended to C. Bisectors of ∠BAE and ∠BEA meet at P such that ∠APE = 158o What is the value of ∠ADC?

    Solutions

     

  • Question 2/10
    1 / -0.33

    Solutions

     

  • Question 3/10
    1 / -0.33

    Solutions

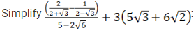
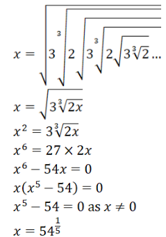
    Let

     

  • Question 4/10
    1 / -0.33

    PQR is a triangle formed by joining the mid-point of triangle DEF and triangle DEF is formed by joining the midpoints of triangle ABC. Find the ratio of area of triangle PQR to that of triangle ABC.

    Solutions

    Let the area of triangle ABC = A

    Then area of triangle DEF = A/4 (as both base and height becomes half, so are becomes 1/4th)

     

  • Question 5/10
    1 / -0.33

    x,y,z are three distinct single digit number. xy is a two-digit number and zzy is three-digit number such that (xy)2 = zzy; where zzy > 420. What is the possible value of y?

    Solutions

    Note:

    Here we can also see that out of all the three digit perfect square number 441 is the only perfect square three digit number in which hundred’s digit and ten’s digit is same.

     

  • Question 6/10
    1 / -0.33

    A train travels 25% faster than a car. Both start from point A at the same time and reach point B, 180 km away at the same time. On the way the train takes 45 minutes for stopping at the stations. What is the speed (in km/hr) of the train?

    Solutions

    Let speed of train = 5x

    So speed of car = 4x

    So, time taken by car to cover 180 km = time taken by train to cover 180 km + 45 minutes

    x = 12

    speed of train = 12 × 5 = 60 km/hr

     

  • Question 7/10
    1 / -0.33

    Let p(x) is a polynomial of degree n. Which of the following statements is/are correct?

    I. p(x) can be factorized into n linear factors

    II. p(x) has exactly n roots

    III. If p(k) = r, then (k - r) is a root of p(x)

    Solutions

    A polynomial of degree n can be factorized into n linear factor weather its roots are real or complex. Each factor of polynomial gives a real/complex root. Hence statements I and II are true.

     

  • Question 8/10
    1 / -0.33

    A boy on the side of the roof of his house held a string attached with a kite. He found the angle of elevation of kite as 30o while his mother from the ground near the wall of house found the angle of elevation as 45o. Height of the boy is 2 feet less than his mother. If the height of the kite from the ground is 80 feet and height of mother is 5.8 feet, find the height of the house (Take √3 = 1.7).

    Solutions

    Let BQ is the height of house, PQ is the height of boy and AB = 5.8 feet the height of his mother. O is the position of kite. Then

     

  • Question 9/10
    1 / -0.33

    In what ratio Darjeeling Tea costing Rs. 320 per kg be mixed with Assam Tea costing Rs. 250 per kg so that there is a gain of 20% by selling the mixture at Rs. 324 per kg?

    Solutions

    Let Darjeeling tea mixed be x kg and Assam tea be y kg

    Profit = 20% when S.P. = Rs.324
    C.P. = (324 × 100)/120 = 270

    According to given 320x + 250y = 270 (x + y)
    5x = 2y
    x:y = 2 : 5

     

  • Question 10/10
    1 / -0.33

    Solutions

     

Close button icon
User Profile
-

Correct (-)

Wrong (-)

Skipped (-)


  • 1
  • 2
  • 3
  • 4
  • 5
  • 6
  • 7
  • 8
  • 9
  • 10
Mockers logo Get latest Exam Updates
& Study Material Alerts!
No, Thanks
Arrow pointer icon
Click on Allow to receive notifications
Notification bell icon ×
Open Now