Verify mobile number to view the solution
Solutions
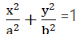
Let the equation of the required ellipse be

Coordinates of foci = (±3, 0) ...(ii)
We know that,
Coordinates of foci = (±c, 0) ...(iii)
∴ From eq. (ii) and (iii), we get
c = 3
We know that,
C2 = a2 – b2
⇒ (3)2= a2 – b2
⇒ 9 = a2– b2
⇒ b2= a2 – 9 ...(iv)
Given that ellipse passing through the points (4, 1)
So, point (4, 1) will satisfy the eq. (i)
Taking point (4, 1) where x = 4 and y = 1
Putting the values in eq. (i), we get

16a2– 144 + a2 = a2(a2 – 9)
⇒ 17a2 – 144 = a4 – 9a2
⇒ a4– 9a2 – 17a2 + 144 = 0
⇒ a4 – 26a2 + 144 = 0
⇒ a4 – 8a2 – 18a2 + 144 = 0
⇒ a2(a2 – 8) – 18(a2 – 8) = 0
⇒ (a2 – 8)(a2 – 18) = 0
⇒ a2 – 8 = 0 or a2 – 18 = 0
⇒ a2 = 8 or a2 = 18
If a2 = 8 then
b2= 8– 9=- 1
Since the square of a real number cannot be negative. So, this is not possible
If a2 = 18 then
b2 = 18 – 9= 9
So, equation of ellipse if a2 = 18 and b2 = 9
