Please wait...

CDS II 2022 Mathematics Test - 6
Menu grid icon
Result Result point icon
CDS II 2022 Mathematics Test - 6
  • Goals icon

    /

    Score
  • Trophy icon

    -

    Rank
White alarm icon Time Taken: -
Result frame illustration
  • Question 1/10
    1 / -0.33

    Let A and B be two points. What is the locus of the point P such that angle APB = 900?

    Solutions

    As angle formed in a semi-circle is a right angle, hence the point P should be the circumference of a circle with AB as its diameter.

     

  • Question 2/10
    1 / -0.33

    A 20 meters cylindrical pipe of thickness 1 cm and outer radius 7 cm can drain water equal to  inner volume of pipe in one second. How long will it take to empty a tank of capacity 2112 liters? [1000 cm3 = 1 liters]

    Solutions

    inner radius of pipe = 7-1= 6 cm
    Inner volume of pipe = π(62)x20x100 = 72000π cm square = 72000π/ 1000 L = 72π L

    Rate of draining

    = 72π L/s

    Time taken to drain whole water

    = 2112/72π = (2112x7)/(72x22) = 9.33 s

     

  • Question 3/10
    1 / -0.33

    In the following figure, CD is a chord equal to the radius of circle with center O and AB as diameter. What is the value of ∠P?

    Solutions

    Join OD, OC and BD, then DOC is an equilateral triangle and ADB & BDP are right triangles.

     

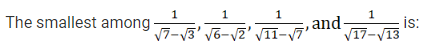
  • Question 4/10
    1 / -0.33

    Solutions

     

  • Question 5/10
    1 / -0.33

    The ratio between the heights of two trees is 4:5. From a point between the trees in the ground, the angles of elevation of larger and smaller tree are found to be 60° and 45° respectively. If the distance between the trees is 58 meters then height of the smaller tree is:

    Solutions

     

  • Question 6/10
    1 / -0.33

    Priyaranjan gives commission of 23% on the marked price of a book and gains 10%. If he would have given 16% commission then what would have been his gain?

    Solutions

    Let the marked price be Rs. 100.

    Priyaranjan gives commission of 23% on the marked price of a book and gains 10%.

    So, the selling price = Rs. (100 – 23) = Rs. 77.

    Then, the cost price = Rs. 77 × (100/110) = Rs. 70

    If he would give commission of 16%, then the selling price

    = Rs. (100 – 16) = Rs. 84

    So, his gain = Rs. (84 – 70) = Rs. 14

    ∴The gain percentage = [(14/70) × 100]% = 20%

     

  • Question 7/10
    1 / -0.33

    Solutions

     

  • Question 8/10
    1 / -0.33

    Find the sum of 10 terms of the given series.

    7+14+28+56+……………….10terms.

    Solutions

    It is a G.P because the common ratio is same in each case.

    First Term = a = 7, Common Ratio = r = 14/7 =2

    Sum of n terms of G.P. 

     

  • Question 9/10
    1 / -0.33

    A man swims downstream a distance of 15 km in 1 hour. If the speed of the current is 5 km/hour, the time taken by the man to swim the same distance upstream is

    Solutions

    Let the speed of a man in the still water is x km/hr

    Therefore, (x + 5) = 15

    x = 10 km/hr

    The speed of a man against current = (10 – 5) = 5 km/hr

    The required time to swim of the 15 km distance against current = 15/5

    = 3 hours.

     

  • Question 10/10
    1 / -0.33

    The average marks obtained by the students in a Class are 43. If the average marks obtained by all 25 boys are 40 and the average marks obtained by the girl students are 48, then what is the number of girl students in the class?

    Solutions

    Let number of girls be g and boys be b.

    Given, avg. marks of whole class=43

    ⇒ Total marks/No. of students(b+g)=43

    Avg marks of boys=40

    Sum of boys=40*25=1000 (since, sum of boys/no.=avg.)

    Avg marks of girls=48

    Sum of girls=48g (by average formula)

    So, 1000+48g=43(25+g) (by average method)

    ⇒ 5g=75

    ⇒ g=15

    Hence, total no. of girls=15.

     

Close button icon
User Profile
-

Correct (-)

Wrong (-)

Skipped (-)


  • 1
  • 2
  • 3
  • 4
  • 5
  • 6
  • 7
  • 8
  • 9
  • 10
Mockers logo Get latest Exam Updates
& Study Material Alerts!
No, Thanks
Arrow pointer icon
Click on Allow to receive notifications
Notification bell icon ×
Open Now