Please wait...

NDA - Properties of Triangles Test 964
Menu grid icon
Result Result point icon
NDA - Properties of Triangles Test 964
  • Goals icon

    /

    Score
  • Trophy icon

    -

    Rank
White alarm icon Time Taken: -
Result frame illustration
  • Question 1/5
    1 / -0.33

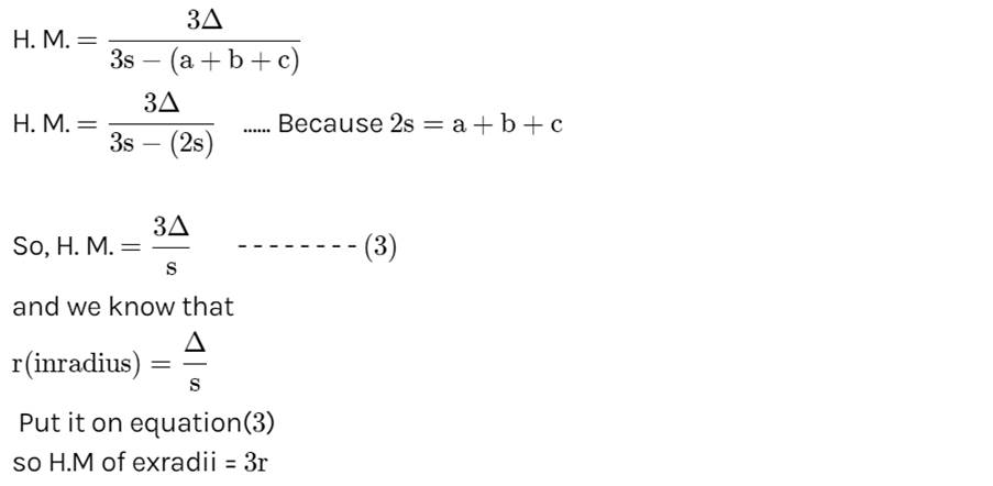
    If in a triangle, R and r are the circumradius and inradius respectively, then the HM of the exradii of the triangle is
    Solutions

  • Question 2/5
    1 / -0.33

    If
    Solutions

  • Question 3/5
    1 / -0.33

    If the sides of a triangle are 4, 5 and 8 units, then the value of the greatest angle is:
    Solutions

    Given

    Sides of a triangle are 4, 5 and 8 units

    Formula Used

    Cosine Rule of triangle

    calculation

    Let in a triangle , , then the greatest angle will .

    Now, in a triangle

    Hence option B is correct.

  • Question 4/5
    1 / -0.33

    Consider a triangle ABC and let a, b and c denotes the lengths of the sides opposite to vertices A,B and C respectively. Suppose  and the area of the triangle is  , if  is obtuse and if r denotes the radius of the incircle of the triangle, then  is equal to
    Solutions

    Correct option is B.

    We know that the area of triangle =

  • Question 5/5
    1 / -0.33

    Consider the following statements:

    1. If  is an equilateral triangle, then .

    2. If ABC is a triangle in which  then

    3. If ABC is any triangle, then

    Which of the above statements is/are correct?

    Solutions

    Statement1-

    Statement2-

    Since tangent of an angle is a increasing function. So Statement 2 is true.

    Statement3-

    Hence only statement 2 is true.

Close button icon
User Profile
-

Correct (-)

Wrong (-)

Skipped (-)


  • 1
  • 2
  • 3
  • 4
  • 5
Mockers logo Get latest Exam Updates
& Study Material Alerts!
No, Thanks
Arrow pointer icon
Click on Allow to receive notifications
Notification bell icon ×
Open Now