Please wait...

Chemistry Test 284
Menu grid icon
Result Result point icon
Chemistry Test 284
  • Goals icon

    /

    Score
  • Trophy icon

    -

    Rank
White alarm icon Time Taken: -
Result frame illustration
  • Question 1/10
    4 / -1

    For the following electrochemical cell reaction at 298 K:

    Zn(s) + Cu²⁺(aq) ⇌ Cu(s) + Zn²⁺(aq),

    Given that the standard cell potential (E° cell) is +1.10 V.

    Solutions

     

  • Question 2/10
    4 / -1

    We know that the relationship between Kc and Kp is Kp = Kc (RT)Δn

    What would be the value of Δn for the reaction NH4Cl (s) ⇔ NH3 (g) + HCl (g)

    Solutions

     

  • Question 3/10
    4 / -1

    The pH of a 10−8 molar solution of HCl in water is

    Solutions

    pH = −log(H+) = −log10−8 = 8

    As the solution is acidic, pH<7. This is because [H+]from H20[10−7] cannot be neglected in comparison to 10−8.

    It is not possible for acid, so it is [H+], the [H+]of water is also added

    Total [H+] in solution

    = [H+] of HCl+[H+] of water

    = (1 × 10−8 + 1 × 10−7)M

    = (1 + 10) × 10−8 = 11 × 10−8M

    ∴ pH = −log[H+] = −log11 × 10−8

    = −log11 + 8log10

    = −1.0414 + 8

    = 6.9586, between 6 and 7.

     

  • Question 4/10
    4 / -1

    Ag2CrO4 and Ag2CO3 are simultaneously dissolved in water. The solubility of Ag2CrO4& Ag2CO3 are 'x′ and 'y′mol/l respectively. If the Ksp of Ag2CrO4 is 'a′ and that of Ag2CO3 is 'b', then which of the following is correct?

    Solutions

     

  • Question 5/10
    4 / -1

    The straight chain polymer is formed by:

    Solutions

    Hydrolysis of substituted chlorosilanes yield corresponding silanols which undergo polymerisation.

     

  • Question 6/10
    4 / -1

    Calculate the boiling point of a one molar aqueous solution (density = 1.04 gmL−1) of potassium chloride, Kb for water = 0.52 kg mol−1. Atomic mass of K = 39,Cl = 35.5

    Solutions

     

  • Question 7/10
    4 / -1

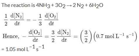
    Ammonia reacts with oxygen giving nitrogen and water. If the rate of formation of N2 is 0.70 mol L−1 s−1, the rate at which O2 is consumed is

    Solutions

     

  • Question 8/10
    4 / -1

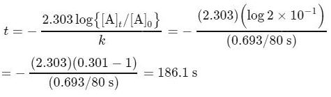
    The half-life for the thermal decomposition of acetone is 80 s and is independent of initial concentration of acetone. The time required for the reaction to go to 80% decomposition is (Given: log2 = 0.30)

    Solutions

    The reaction follows first-order kinetics. Hence k = 0.693/t1/2 = 0.693/(80 s). For the reaction to be 80%, [A]t/[A]= 0.2. Hence

     

  • Question 9/10
    4 / -1

    The correct order of acidic strength is

    Solutions

    The acidic strength of an acid is defined as the tendency of the acid to dissociate into its corresponding ions in order to release a proton and the anion. The acidic strength of a strong acid is high and that of a weak acid is low. This means that on dissociation, a strong acid releases its proton at a much faster rate than the weak acid.

    Oxidation number: The greater the oxidation number of the central atom of the oxide, the greater the acidic strength will be.

    n a periodic table, the acidic strength of an atom increases across a period and decreases down the group. In the above options, the correct order of acidic strength of the oxides is:

    Cl2O> SO> P4O10

    The oxidation state of the oxides is as follows:

    Let the oxidation number of the chlorine atom be 'x′.

    Cl2O= 2x + 7(−2) → x = +7

    Let the oxidation number of the sulfur atom be ′y′.

    SO= y + 3(−2) ⇒ y = +6

    Let the oxidation number of the phosphorus atom be ′z′.

    P4O10 − 4z + 10(−2) → z − +5

    Thus, as we can see that the order of oxidation is in a decreasing manner, this means that this option is correct.

    So, the correct answer is Option (a).

     

  • Question 10/10
    4 / -1

    Solutions

    (i) Since H2O is highly polar in nature and aniline is highly reactive towards electrophilic substitution.

Close button icon
User Profile
-

Correct (-)

Wrong (-)

Skipped (-)


  • 1
  • 2
  • 3
  • 4
  • 5
  • 6
  • 7
  • 8
  • 9
  • 10
Mockers logo Get latest Exam Updates
& Study Material Alerts!
No, Thanks
Arrow pointer icon
Click on Allow to receive notifications
Notification bell icon ×
Open Now